系统化学势的三个热力学偏导
\[\mu = {\left[ {\frac{{\partial U}}{{\partial n}}} \right]_{S,V}} = {\left[ {\frac{{\partial H}}{{\partial n}}} \right]_{S,P}} = {\left[ {\frac{{\partial F}}{{\partial n}}} \right]_{T,V}} = {\left[ {\frac{{\partial G}}{{\partial n}}} \right]_{T,P}}\]
单元开放系统有4 个彼此等价的热力学方程, 它们包含了这种系统的全部热力学信息。由它们出发, 系统化学势μ 可表示成我们熟知的以上形式。由于系统的吉布斯函数G 是广延量, 因而很容易通过G(T , p , n )=ng (T , p)得出\[{\left[ {\frac{{\partial G}}{{\partial n}}} \right]_{T,P}} = g(T,p)\]。这就是说, 化学势μ 等于系统的摩尔吉布斯函数g。
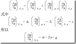
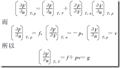
U =U(S , V , n) 内能作为广延量, 其广延性体现在 S , V , n 这三个热力学量上.当取 T , p , n 为自变量时, S= S(T , p , n)、V =V(T , p , n), 也就是说, 系统的内能 U 通过中间变量S , V 成为T , p , n的函数.因而, U 的广延性就只集中体现于摩尔数n 了.其他同理,其公式推导如下:
参考文献:谢名春,三个热力学偏导数等于系统化学势的又一证明方法,大学物理,Vol.19 No .11, 2000.




浙公网安备 33010602011771号