JAVA数组
一、数组概述
1. 定义
- 数组是相同类型数据结构的有序组合
- 数组描述的是相同类型的若干数据,按照一定的先后次序排列组合而成
- 其中,每一个数据称作一个数组元素,每个数组元素可以通过一个下标来访问它们
二、数组声明创建
1. 语法
- 声明数组变量
dataType[] arrayRefVar; //首选方法 int[] nums;
dataType arrayRefVar[]; //效果相同,但不是首选 int nums2[];
//这种声明方式是c/c++的数组格式,java兼容
- 使用new操作符创建
dataType[] arrayRefVar = new dataType[arraySize];
//int[] nums = new int[10]; 没有这个大小
-
数组是通过索引访问的,数组索引从0开始
-
获取数组长度
arrays.length例子
package com.shelton.array;
public class ArrayDemo01 {
//变量的类型 变量的名字 = 变量的值;
//数组类型
public static void main(String[] args) {
int[] nums; //1.声明一个数组
nums = new int[10];//2.创建一个数组
//3.给数组元素中赋值
nums[0] = 1;
nums[1] = 2;
nums[2] = 3;
nums[3] = 4;
nums[4] = 5;
nums[5] = 6;
nums[6] = 7;
nums[7] = 8;
nums[8] = 9;
nums[9] = 10;
//若未赋值,int类型默认值为0
System.out.println(nums[9]);
//计算所有元素的和
int sum = 0;
//获取数组长度:arrays.length
for (int i = 0; i < nums.length; i++) {
sum =sum + nums[i];
}
System.out.println("总和为"+sum);
}
}
/*
10
总和为55
*/
2. 内存分析
-
内存
- 堆
- 存放new的对象和数组
- 可以被所有的线程共享,不会存放别的对象引用
- 栈
- 存放基本变量类型(会包含这个基本类型的具体数值)
- 引用对象的变量(会存放这个引用在堆里的具体地址)
- 方法区
- 可以被所有线程共享
- 包含了所有的class和static变量
- 堆
-
声明一个数组
int[] array;在栈中 -
创建一个数组
array = new int[10];在堆中,int类型初始值都为0 -
给数组元素中赋
array[0] = 0;在堆中
array[1] = 1; ......
array[9] = 2;因此new出来的数组都是在堆中的
3.数组的三种初始化状态
3.1 静态初始化
int[] a = {1,2,3};
Man[] mans = {new Man(1,1),New Man(2,2)};
3.2 动态初始化
int[] a = new int[2];
a[0] = 1;
a[1] = 2;
3.3 默认初始化
- 数组是引用类型,它的元素相当于类的实例变量,因此数组一经分配空间,其中每个元素也被按照实例变量同样的方式被隐式初始化
public class ArrayDemo02 {
public static void main(String[] args) {
//静态初始化 创建+赋值
int[] a = {1,2,3,4,5,6,7,8};
System.out.println(a[0]);
//动态初始化
int[] b = new int[10];
b[0] = 10;
System.out.println(b[0]);
System.out.println(b[1]);//默认初始化
}
}
4. 数组的四个基本特点
- 其长度是确定的,数组一旦被创建,它的大小就是不可以改变的
- 其元素必须是相同类型,不允许出现混合类型
- 数组中的元素可以是任何数据类型,包括基本类型和引用类型
- 数组变量属引用类型,数组也可以看成是对象,因此数组无论保存类型还是其他对象类型,数组对象本身是在堆中的
5. 数组边界
-
下标的合法区间:[0,length-1],如果越界就会报错
int[] a = new int[2];//int[] a中只包含a[0]、a[1] System.out.println(a[2]);//报错public static void main(String[] args) { //静态初始化 创建+赋值 int[] a = {1,2,3,4,5,6,7,8}; for (int i = 0; i <= a.length ; i++) {//[0,length-1] System.out.println(a[i]); } -
ArrayIndexOutOfBoundsException:数组下标越界异常!
6. 小结
- 数组是相同数据类型(数据类型可为任意类型)的有序集合
- 数组也是对象,数组元素相当于对象的成员变量
- 数组长度是确定的,不可变的,如果越界,则报:ArrayIndexOutOfBoundsException
三、数组使用※
普通for循环
package com.shelton.array;
public class ArrayDemo03 {
public static void main(String[] args) {
int[] arrays = {1,2,3,4,5};
//打印全部的数组元素
for (int i = 0; i < arrays.length; i++) {
System.out.println(arrays[i]);
}
System.out.println("********************");
//计算所有元素的和
int sum = 0;
for (int j = 0; j < arrays.length; j++) {
sum += arrays[j];
}
System.out.println("和为"+sum);
System.out.println("********************");
//查找最大元素
int max = arrays[0];
for (int i = 0; i < arrays.length; i++) {
if(max<arrays[i]) {
max = arrays[i];
}
}
System.out.println("最大数为"+max);
}
}
1. For-Each 循环(增强for)
public class ArrayDemo04 {
public static void main(String[] args) {
int[] arrays = {1,2,3,4,5};
//JDK1.5引入 没有下标
for (int element : arrays) {//遍历元素
System.out.println(element);//打印元素
}
}
}
/*
1
2
3
4
5
*/
- 二维数组
package com.shelton.array;
public class ArrayDemo22 {
public static void main(String[] args) {
int[][] arrays = {{4,2,3,4,89},{32,83,2,6,5,9}};
forPrint(arrays);
System.out.println("===================");
forEachPrint(arrays);
}
//toString只能输出一维数组
//for遍历输出
public static void forPrint(int[][] arrays){
for (int i = 0; i < arrays.length; i++) {
for (int j = 0; j < arrays[i].length; j++) {
System.out.print(arrays[i][j]+"\t");
if (j == arrays[i].length - 1) {
System.out.println();
}
}
}
}
//foreach遍历输出
public static void forEachPrint(int[][] arrays){
for (int[] ints : arrays) {
for (int anInt : ints) {
System.out.print(anInt+"\t");
}
System.out.println();
}
}
}
/*
4 2 3 4 89
32 83 2 6 5 9
===================
4 2 3 4 89
32 83 2 6 5 9
*/
2. 数组作方法入参
package com.shelton.array;
public class ArrayDemo05 {
public static void main(String[] args) {
int[] arrays = {1,2,3,4,5};
printArray(arrays);
}
//打印数组元素
public static void printArray(int[] arrays) {
for (int i = 0; i < arrays.length; i++) {
System.out.println(arrays[i]+" ");
}
}
}
/*
1
2
3
4
5
*/
3. 数组作返回值
package com.shelton.array;
public class ArrayDemo06 {
public static void main(String[] args) {
int[] arrays = {1,2,3,4,5};
for (int i = 0; i <arrays.length; i++) {
System.out.println(reverse(arrays)[i]);
}
}
//反转数组
public static int[] reverse(int[] arrays){
int[] result = new int[arrays.length];
//反转的操作
for (int i = 0; i < arrays.length; i++) {
result[i] = arrays[arrays.length-1-i];
//result[0]=arrays[arrays.length-1]
}
return result;
}
}
/*
5
4
3
2
1
*/
改进
package com.shelton.array;
public class ArrayDemo07 {
public static void main(String[] args) {
int[] arrays = {1,2,3,4,5};
for (int i = 0; i <arrays.length; i++) {
System.out.println(reverse(arrays)[i]);
}
}
//反转数组
public static int[] reverse(int[] arrays){
int[] result = new int[arrays.length];
//反转的操作
for (int i = 0,j=result.length-1; i < arrays.length; i++,j--) {
result[j] = arrays[i];
}
return result;
}
}
/*
5
4
3
2
1
*/
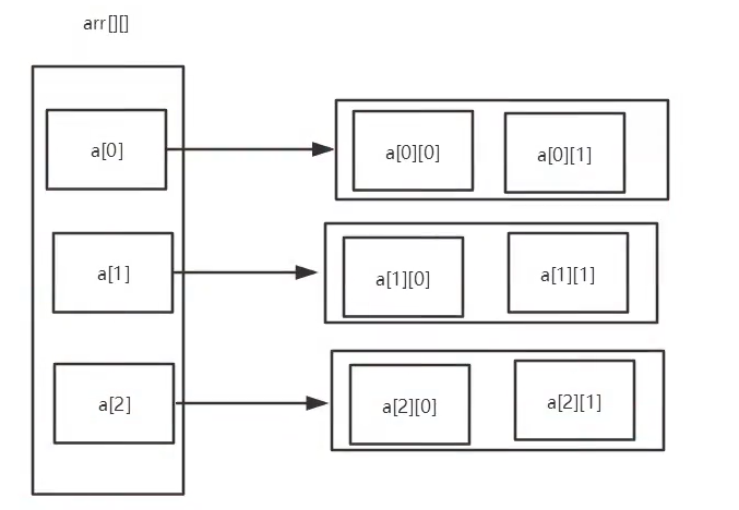
四、多维数组
1.多维数组可以看成是数组的数组
-
例如二维数组就是一个特殊的一维数组,其每一个元素都是一个一维数组
2. 二维数组
2.1 语法
int a[][] = new int[2][5]
public class ArrayDemo08 {
int[][] array = {{1,2},{2,3},{3,4}}
}
2.2 例子
package com.shelton.array;
public class ArrayDemo08 {
public static void main(String[] args) {
//[4][2]
/*
1,2 array[0]
2,3 array[1]
3,4 array[2]
4,5 array[3]
*/
int[][] array = {{1,2},{2,3},{3,4},{4,5}};
System.out.println("遍历array后的array[0]=");
printArray(array[0]);
System.out.println("将array[][]直接输出array[0]="+array[0]);
System.out.println("array[2][1]="+array[2][1]);
System.out.println("array[0].length="+array[0].length);
}
//打印数组元素
public static void printArray(int[] arrays) {
for (int i = 0; i < arrays.length; i++) {
System.out.println(arrays[i]+" ");
}
}
}
/*
遍历array后的array[0]=
1
2
将array[][]直接输出array[0]=[I@1b6d3586
array[2][1]=4
array[0].length=2
*/
2.3 例子
package com.shelton.array;
public class ArrayDemo09 {
public static void main(String[] args) {
int[][] array = {{1,2},{2,3},{3,4},{4,5}};
for (int i = 0; i < array.length; i++) {
for (int j = 0; j < array[i].length; j++) {
System.out.print(array[i][j]);
//数组换行
if (j==array[i].length-1){
System.out.println();
/*
i=0 i<4 j=0 j<a[0].l=2 a[0][0] i!=a[0].l-1=1
j=1 j<a[0].l=2 a[0][1] i!=a[0].l-1=1
*/
}
}
}
}
}
3. 多维数组
package com.shelton.array;
public class ArrayDemo10 {
//遍历打印一个4行3列1的数组
public static void main(String[] args) {
int a[][][] = {{{1,2},{2,3}},{{3,4},{4,5}}};
for (int i = 0; i < a.length; i++) {
for (int j = 0; j < a[i].length; j++) {
for (int k = 0; k < a[i][j].length; k++) {
System.out.print(a[i][j][k]);
if (k==a[i][k].length-1) {
System.out.print(" ");
if (j==a[i].length-1){//放在内部if,第二层数组打印完才换行,放在外部if会直接换行
System.out.println();
/* i=0 i<a.l=4 j=0 j<a[i=0].l=2 k=0 k<a[i=0][j=0].l=2 k++
k=1 k<a[i=0][j=0].l=2 换行 k++
j=1 j<a[i=0].l=2 k=0 k<a[i=0][j=1].l=2 k++
k=1 k<a[i=0][j=1].l=2 换行 k++
*/
}
}
}
}
}
}
}
/*
12 23
34 45
*/
五、Arrays类
1. 数组的工具类java.util.Arrays
1.1 查看类的使用



1.2打印数组元素 Arrays.toString(a)
package com.shelton.array;
import java.util.Arrays;
public class ArrayDemo11 {
public static void main(String[] args) {
int[] a = {1,2,3,4,9090,31231,543,21,3,23};
System.out.println(a);//[I@1b6d3586
//打印数组元素 Arrays.toString(a)
System.out.println(Arrays.toString(a));
}
}
// [1, 2, 3, 4, 9090, 31231, 543, 21, 3, 23]
- Arrays.toString(a)源码
public static String toString(int[] a) {
if (a == null)
return "null";
int iMax = a.length - 1;
if (iMax == -1)
return "[]";
StringBuilder b = new StringBuilder();
b.append('[');
for (int i = 0; ; i++) {
b.append(a[i]);
if (i == iMax)
return b.append(']').toString();
b.append(", ");
}
}
- 工具可以自己用方法写,实现相同的功能
- 掌握工具可以避免重复工作,造轮子
public class ArrayDemo11 {
public static void main(String[] args) {
int[] a = {1,2,3,4,9090,31231,543,21,3,23};
printArray(a);
}
//打印数组元素
public static void printArray(int[] arrays) {
for (int i = 0; i < arrays.length; i++) {
if (i==0) {
System.out.print("["+arrays[i]+", ");
}else if (i==arrays.length-1) {
System.out.print(arrays[i]+"]");
}else {
System.out.print(arrays[i]+", ");
}
}
}
}
// [1, 2, 3, 4, 9090, 31231, 543, 21, 3, 23]
1.3 数组排序 Arrays.sort(a)
package com.shelton.array;
import java.util.Arrays;
public class ArrayDemo12 {
public static void main(String[] args) {
int[] a = {1,2,3,4,9090,31231,543,21,3,23};
Arrays.sort(a); //数组进行排序:升序
System.out.println(Arrays.toString(a));
}
}
- Arrays类中的方法都是static修饰的静态方法,在使用的时候可以直接使用类名进行调用,而“不用”使用对象来调用。(不是不能)
1.4 数组赋值——fill方法
package com.shelton.array;
import java.util.Arrays;
public class ArrayDemo14 {
public static void main(String[] args) {
int[] a = {1,2,3,4,9090,31231,543,21,3,23};
Arrays.fill(a,0);//数组填充
System.out.println(Arrays.toString(a));
}
}
/*
[0, 0, 0, 0, 0, 0, 0, 0, 0, 0]
*/
int[] a = {1,2,3,4,9090,31231,543,21,3,23};
Arrays.fill(a,2,4,0);//fromindex--toindex 左闭右开
System.out.println(Arrays.toString(a));
/*
[1, 2, 0, 0, 9090, 31231, 543, 21, 3, 23]
a[2] a[3]
*/
- 查看官方帮助文档jdk1.8

1.5 常用功能
- 给数组进行赋值——fill方法
- 对数组排序——sort方法,升序
- 比较数组——equals方法,比较素数中元素值是否相等
- 查找数组元素——binarySearch方法,对排序号的数组进行二分法查找
1.6 冒泡排序
- 基本思想:从左到右使用相邻两个元素进行比较,如果第一个比第二个大,则交换两个元素。这样会使较大数下沉到数组的尾端,即较小数像泡泡一样冒到数组首端。
- 嵌套循环——时间复杂度为O(n2)
package com.shelton.array;
import java.util.Arrays;
public class ArrayDemo20 {
public static void main(String[] args) {
int[] a = {2,1,5,4,3,8};
int[] b = sort(a);//排序后的数组
System.out.println(Arrays.toString(b));
}
//冒泡升序
public static int[] sort(int[] array){
int temp = 0;
//外层循环——所有数比较的轮数
//6个数比较,array.length=6,6个数要进行5轮比较,因此前5个顺序确定,第6个自然确定
for (int i = 0; i < array.length-1; i++) {
//内层循环——两个数比较的次数
//6个数比较,array.length=6,1个数要进行5次比较,因此前5个顺序确定,第6个自然确定
for (int j = 0; j < array.length-1; j++) {
//本身使用array.length也不会溢出,会将最后一个数也比较一次,但这里用了array[j+1]所以要length-1不溢出
if(array[j]>array[j+1]){
temp = array[j+1];
array[j+1] = array[j];
array[j] = temp;
}
}
}
return array;
}
}
思考如何优化
- 基本冒泡算法之所以进行了无用的多余扫描,是因为不知道已经排好了序;所以只要我们在第 i 轮(i小于n-1,因为n个数比较n-1轮)就知道序列已经排好序,我们就不用进行之后的扫描了。
- 例如在7个数排序,若在第5轮其实已经排好序了,但基本的冒泡排序算法还会进行第6轮比较,这其实只是进行没必要的比较,而不会进行元素的交换。
- 综上所述,我们可以增加一个boolean变量,来标识是否已经排好序。优化代码如下:
public class ArrayDemo20 {
public static void main(String[] args) {
int[] a = {2,1,5,4,3,8};
int[] b = sort(a);//排序后的数组
System.out.println(Arrays.toString(b));
}
//冒泡升序
public static int[] sort(int[] array){
int temp = 0;
//用于标识是否已经将序列排好序
boolean isOrdered = false;
for (int i = 0; i < array.length-1; i++) {
//每一轮开始前都假设已经有序
isOrdered = true;
for (int j = 0; j < array.length-1; j++) {
if(array[j]>array[j+1]){
temp = array[j+1];
array[j+1] = array[j];
array[j] = temp;
//如果出现有元素交换,则表明此次可能没有完成排序
isOrdered = false;
}
}
//如果当前轮都没有进行元素的交换,证明前面一轮比较已经排好序
//直接跳出循环
if(isOrdered){
break;
}
}
return array;
}
}
六、稀疏数组
1. 引例
-
编写五子棋游戏中,有存盘退出和续上盘的功能
-
分析问题:因为该二维数组的很多值是默认值0,因此记录了很多没有意义的数据
-
解决——稀疏数组
2. 定义
-
当一个数组中大部分元素为0,或者为同一值的数组时,可以使用稀疏数组来保存该数组
-
稀疏数组的处理方式
-
记录数组一共有几行几列,有多少个不同值
-
把具有不同值的元素和行、列、值记录在一个小规模的数组中,从而缩小程序的规模
-

3. 使用方法
[0]原数组行数 原数组列数 原数组有效值个数
[1]有效值所在行 有效值所在列 有效值的值
…………
[11]有效值所在行 有效值所在列 有效值的值
4. 例子
- 原始数组
package com.shelton.array;
import java.util.Arrays;
public class ArrayDemo21 {
public static void main(String[] args) {
//1.创建一个二维数组 11*11 0-没有棋子 1-黑棋 2-白棋
int[][] array1 = new int[11][11];
array1[1][2] = 1;
array1[2][3] = 2;
//输出原始数组
System.out.println("输出原始数组");
//for.each循环遍历数组的简单写法
for (int[] ints : array1) {
for (int anInt : ints) {
System.out.print(anInt+"\t");
}
System.out.println();
}
}
}
/*
输出原始数组
0 0 0 0 0 0 0 0 0 0 0
0 0 1 0 0 0 0 0 0 0 0
0 0 0 2 0 0 0 0 0 0 0
0 0 0 0 0 0 0 0 0 0 0
0 0 0 0 0 0 0 0 0 0 0
0 0 0 0 0 0 0 0 0 0 0
0 0 0 0 0 0 0 0 0 0 0
0 0 0 0 0 0 0 0 0 0 0
0 0 0 0 0 0 0 0 0 0 0
0 0 0 0 0 0 0 0 0 0 0
0 0 0 0 0 0 0 0 0 0 0
*/
- 转换为稀疏数组
//有效值个数
int sum = 0;
for (int i = 0; i < array1.length; i++) {
for (int j = 0; j < array1[i].length; j++) {
if (array1[i][j]!=0){
sum++;
}
}
}
System.out.println("有效值个数为"+sum);
//2.创建一个稀疏数组的数组
//第0——原数组的行、列、有效值个数
//其余行——有效值所在的行、列、值
//因此总行数为[有效值数+1],总列数为[3]——行、列、值
int[][] array2 = new int[sum+1][3];
//第0行
array2[0][0] = array1.length;
array2[0][1] = array1.length;
array2[0][2] = sum;
//遍历二维数组,将非0的值存放到稀疏数组中
//设置count计数,作为行数,从1开始
int count = 0;
for (int i = 0; i < array1.length; i++) {
for (int j = 0; j < array1[i].length; j++) {
if (array1[i][j]!=0){
count++;
//从第1行横坐标
array2[count][0] = i;
//从第1行纵坐标
array2[count][1] = j;
//从第1行值
array2[count][2] = array1[i][j];
}
}
}
System.out.println("输出稀疏数组");
for (int i = 0; i < array2.length; i++) {
System.out.println(array2[i][0]+"\t"
+array2[i][1]+"\t"
+array2[i][2]+"\t");
/*
有效值个数为2
输出稀疏数组
11 11 2 //array2[0]原数组总行数 原数组总列数 有效值个数
1 2 1 //array2[1]有效值所在行 有效值所在列 有效值的值
2 3 2
*/
- 稀疏数组还原成原数组
//稀疏数组还原
System.out.println("还原");
//1.读取稀疏数组
int[][] array3 = new int[array2[0][0]][array2[0][1]];
//2.给元素还原值
for (int i = 1; i < array2.length; i++) {
array3[array2[i][0]][array2[i][1]]=array2[i][2];
}
//3.打印还原数组
for (int[] ints : array3) {
for (int anInt : ints) {
System.out.print(anInt+"\t");
}
System.out.println();
}
/*
还原
0 0 0 0 0 0 0 0 0 0 0
0 0 1 0 0 0 0 0 0 0 0
0 0 0 2 0 0 0 0 0 0 0
0 0 0 0 0 0 0 0 0 0 0
0 0 0 0 0 0 0 0 0 0 0
0 0 0 0 0 0 0 0 0 0 0
0 0 0 0 0 0 0 0 0 0 0
0 0 0 0 0 0 0 0 0 0 0
0 0 0 0 0 0 0 0 0 0 0
0 0 0 0 0 0 0 0 0 0 0
0 0 0 0 0 0 0 0 0 0 0
*/
4.1 完整Demo
package com.shelton.array;
public class ArrayDemo23 {
public static void main(String[] args) {
System.out.println("======================================原始数组====================================");
//1.创建一个二维数组 11*11 0-没有棋子 1- 黑棋 2-白棋
int[][] array = new int[11][11];
array[1][2] = 1;
array[2][3] = 2;
//2.输出原始数组
printArray(array);
System.out.println("====================================转换为稀疏数组=================================");
//1.获取有效值个数
int num = getNum(array);
System.out.println("(有效值个数为"+num+")");
//2.创建一个稀疏数组
int[][] array2 = buildSparseArray(array);
//3.打印稀疏数组
System.out.println("==法1. foreach输出稀疏数组==");
printArray(array2);
System.out.println("==法2. for输出稀疏数组======");
printSparseArray(array2);
System.out.println("==================================稀疏数组转换为原数组==============================");
//1.创建原始数组
int[][] array3 = buildArray(array2);
//2.输出原始数组
printArray(array3);
}
//打印数组
public static void printArray(int[][] array){
for (int[] ints : array) {
for (int anInt : ints) {
System.out.print(anInt+"\t");
}
System.out.println();
}
}
//获取有效值个数 array[1][2]=1 array[2][3]=2
public static int getNum(int[][] array){
int num = 0;
for (int i = 0; i < array.length; i++) {
for (int j = 0; j < array[i].length; j++) {
//不为0的才是有效数字
if (array[i][j]!=0){
num++;
}
}
}
return num;
}
//创建一个稀疏数组
public static int[][] buildSparseArray(int[][] array){
int num = getNum(array);
//总行数为[有效值数+1],总列数为[3]——行、列、值
int[][] array2 = new int[num+1][3];
//第0行
array2[0][0] = array.length;
array2[0][1] = array[0].length;
array2[0][2] = num;
//其余行
int rank = 0;
for (int i = 0; i < array.length; i++) {
for (int j = 0; j < array[i].length; j++) {
if(array[i][j]!=0){
rank++;
array2[rank][0] = i;
array2[rank][1] = j;
array2[rank][2] = array[i][j];
}
}
}
return array2;
}
//创建原始数组
public static int[][] buildArray(int[][] array2){
//读取稀疏数组
int[][] array3 = new int[array2[0][0]][array2[0][1]];
//从第1行遍历稀疏数组——原始数组中有效值的行、列、值
for (int i = 1; i < array2.length; i++) {
array3[array2[i][0]][array2[i][1]] = array2[i][2];
}
return array3;
}
//输出稀疏数组法2
public static void printSparseArray(int[][] array2){
for (int i = 0; i < array2.length; i++) {
System.out.println(array2[i][0]+"\t"
+array2[i][1]+"\t"
+array2[i][2]+"\t");
}
}
}
/*
======================================原始数组====================================
0 0 0 0 0 0 0 0 0 0 0
0 0 1 0 0 0 0 0 0 0 0
0 0 0 2 0 0 0 0 0 0 0
0 0 0 0 0 0 0 0 0 0 0
0 0 0 0 0 0 0 0 0 0 0
0 0 0 0 0 0 0 0 0 0 0
0 0 0 0 0 0 0 0 0 0 0
0 0 0 0 0 0 0 0 0 0 0
0 0 0 0 0 0 0 0 0 0 0
0 0 0 0 0 0 0 0 0 0 0
0 0 0 0 0 0 0 0 0 0 0
====================================转换为稀疏数组=================================
(有效值个数为2)
==法1. foreach输出稀疏数组==
11 11 2
1 2 1
2 3 2
==法2. for输出稀疏数组======
11 11 2
1 2 1
2 3 2
==================================稀疏数组转换为原数组==============================
0 0 0 0 0 0 0 0 0 0 0
0 0 1 0 0 0 0 0 0 0 0
0 0 0 2 0 0 0 0 0 0 0
0 0 0 0 0 0 0 0 0 0 0
0 0 0 0 0 0 0 0 0 0 0
0 0 0 0 0 0 0 0 0 0 0
0 0 0 0 0 0 0 0 0 0 0
0 0 0 0 0 0 0 0 0 0 0
0 0 0 0 0 0 0 0 0 0 0
0 0 0 0 0 0 0 0 0 0 0
0 0 0 0 0 0 0 0 0 0 0
*/

浙公网安备 33010602011771号