Twisted Edwards曲线
题目:
#sagemath
from Crypto.Util.number import *
def add(P, Q):
(x1, y1) = P
(x2, y2) = Q
x3 = (x1*y2 + y1*x2) * inverse(1 + d*x1*x2*y1*y2, p) % p
y3 = (y1*y2 - a*x1*x2) * inverse(1 - d*x1*x2*y1*y2, p) % p
return (x3, y3)
def mul(x, P):
Q = (0, 1)
while x > 0:
if x % 2 == 1:
Q = add(Q, P)
P = add(P, P)
x = x >> 1
return Q
p = 64141017538026690847507665744072764126523219720088055136531450296140542176327
a = 362
d = 7
e=0x10001
gx=bytes_to_long(b'D0g3xGC{*****************}')
PR.<y>=PolynomialRing(Zmod(p))
f=(d*gx^2-1)*y^2+(1-a*gx^2)
gy=int(f.roots()[0][0])
assert (a*gx^2+gy^2)%p==(1+d*gx^2*gy^2)%p
G=(gx,gy)
eG = mul(e, G)
print(eG)
#eG = (34120664973166619886120801966861368419497948422807175421202190709822232354059, 11301243831592615312624457443883283529467532390028216735072818875052648928463)
解题思路:
分析曲线
-
我们首先分析一下这是个什么曲线
`assert (a*gx^2+gy^2)%p==(1+d*gx^2*gy^2)%p` -
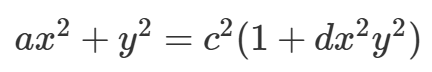
这是扭曲爱德华(Twisted Edwards)曲线,其一般形式为

-
分析曲线结构

分析代码
**p**:模数,表示椭圆曲线定义在有限域Fp上
**a**和**d**:椭圆曲线的参数,用于定义曲线的方程:ax<sup>2</sup>+y<sup>2</sup>≡1+dx<sup>2</sup>y<sup>2 </sup>(mod p)
**e**:公钥指数
**gx**:基点<font style="color:rgb(6, 6, 7);">G</font>的<font style="color:rgb(6, 6, 7);">x</font>坐标,通过<font style="color:rgb(6, 6, 7);">bytes_to_long</font>将一个字节序列转换为整数
f = (d * gx^2 - 1) * y^2 + (1 - a * gx^2)
**f**:构造一个关于<font style="color:rgb(6, 6, 7);">y</font>的多项式,用于求解<font style="color:rgb(6, 6, 7);">y</font>坐标

gy = int(f.roots()[0][0])
**gy**:通过求解多项式<font style="color:rgb(6, 6, 7);">f(y)</font>的根,得到<font style="color:rgb(6, 6, 7);">y</font>坐标;<font style="color:rgb(6, 6, 7);">roots()</font>方法返回多项式的根,取第一个根作为<font style="color:rgb(6, 6, 7);">gy</font>
**G**:基点
**eG**:通过标量乘法eG计算加密后的点
解密思路
- 在代码中,加密过程是通过将基点
<font style="color:rgb(6, 6, 7);">G</font>乘以公钥<font style="color:rgb(6, 6, 7);">e</font>来完成的,即<font style="color:rgb(6, 6, 7);">eG</font> - 解密过程需要找到私钥
<font style="color:rgb(6, 6, 7);">d</font>,使得<font style="color:rgb(6, 6, 7);">d × e ≡ 1 (mod n)</font>,其中<font style="color:rgb(6, 6, 7);">n</font>是椭圆曲线的阶 - 那么如何求阶呢,似乎没有办法直接求这种圆锥曲线的阶,不过我们可以将
Edcurve通过换元映射,变换为常见的椭圆曲线的形式
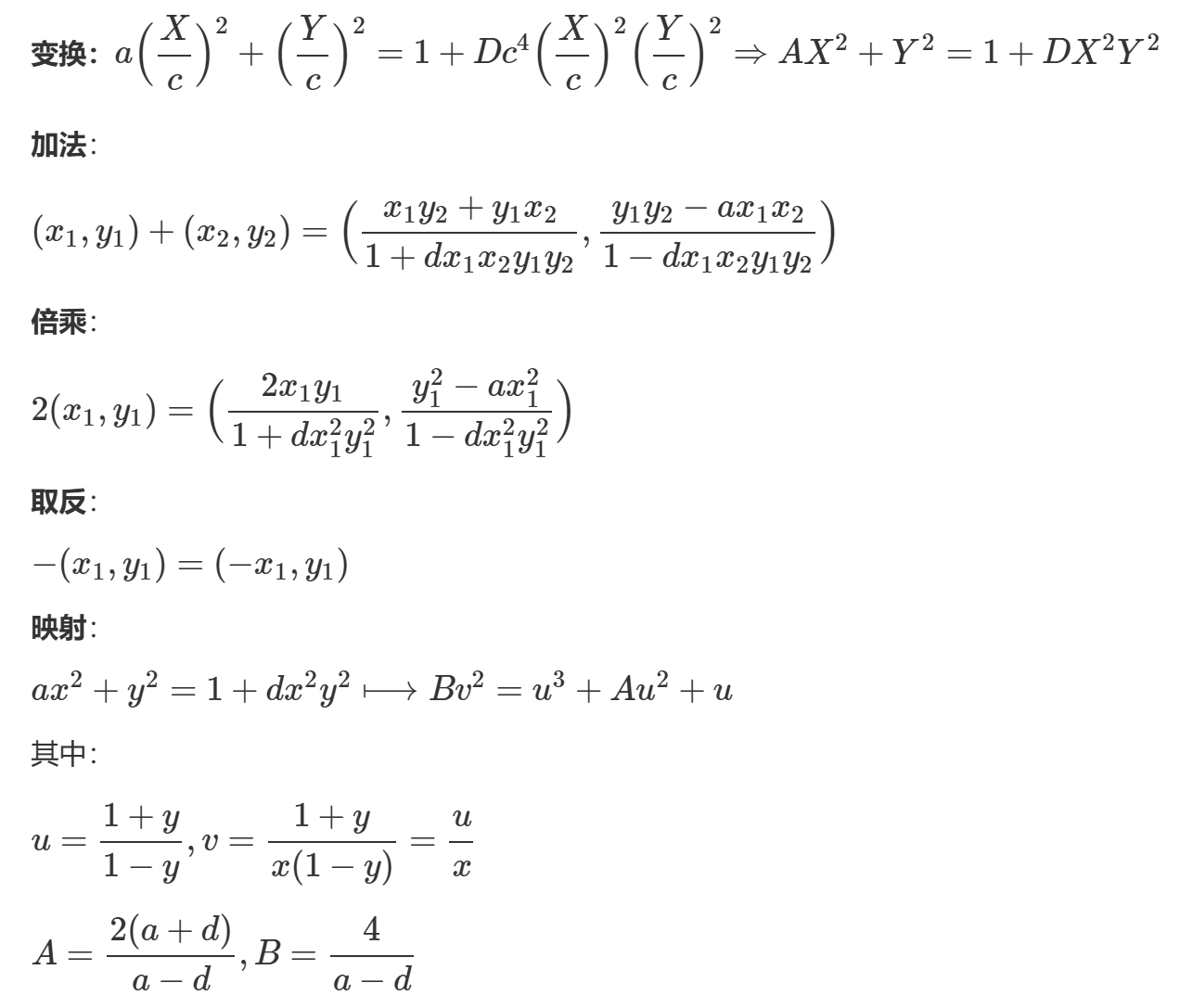
换元映射
-
第一步:转化为蒙哥马利曲线方程(Montgomery)
 -
第二步:转化为椭圆曲线方程(Weierstrass)

-
此时蒙哥马利曲线就变成了椭圆曲线方程形式
 -
然后求该曲线的阶,从而求解出远原点
G,并且重新逆变换回Edcurve,得到的横坐标即为flag
代码分步实现
- 映射到椭圆曲线
F = GF(p)
dd = F(d*c^4)
A = F(2) * F(a+dd) / F(a-dd)
B = F(4) / F(a-dd)
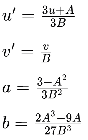
a = F(3-A^2) / F(3*B^2)
b = F(2*A^3-9*A) / F(27*B^3)
- 映射函数
def edwards_to_ECC(x,y):
x1 = F(x) / F(c)
y1 = F(y) / F(c)
x2 = F(1+y1) / F(1-y1)
y2 = F(x2) / F(x1)
x3 = (F(3*x2) + F(A)) / F(3*B)
y3 = F(y2) / F(B)
return (x3,y3)
def ECC_to_edwards(x,y):
x2 = (F(x) * F(3*B) - F(A)) / F(3)
y2 = F(y) * F(B)
x1 = F(x2) / F(y2)
y1 = F(1) - (F(2) / F(x2+1))
x_ = F(x1) * F(c)
y_ = F(y1) * F(c)
return (x_,y_)
edwards_to_ECC(x, y):将Twisted Edwards曲线上的点映射到椭圆曲线上
ECC_to_edwards(x, y):将椭圆曲线上的点映射回Twisted Edwards曲线
- 解密过程
E = EllipticCurve(GF(p), [a, b])
order = E.order()
eG = E(edwards_to_ECC(eG[0],eG[1]))
t = inverse(e,order)
G = t*eG
G = ECC_to_edwards(G[0],G[1])
print(bytes.fromhex(hex(G[0])[2:]))
创建椭圆曲线E
计算椭圆曲线的阶order
将加密后的点eG映射到椭圆曲线上
计算私钥t,即公钥e的模逆元
使用私钥t解密,得到原始点G
将解密后的点G映射回Twisted Edwards曲线
输出解密结果,即原始消息的哈希值
解答:
p = 64141017538026690847507665744072764126523219720088055136531450296140542176327
a = 362
d = 7
c = 1
e = 0x10001
eG = (34120664973166619886120801966861368419497948422807175421202190709822232354059, 11301243831592615312624457443883283529467532390028216735072818875052648928463)
#part2 map to ECC
F = GF(p)
dd = F(d*c^4)
A = F(2) * F(a+dd) / F(a-dd)
B = F(4) / F(a-dd)
a = F(3-A^2) / F(3*B^2)
b = F(2*A^3-9*A) / F(27*B^3)
def edwards_to_ECC(x,y):
x1 = F(x) / F(c)
y1 = F(y) / F(c)
#now curve is a*x^2+y^2 = 1+dd*x^2*y^2
x2 = F(1+y1) / F(1-y1)
y2 = F(x2) / F(x1)
#now curve is By^2 = x^3 + Ax^2 + x
x3 = (F(3*x2) + F(A)) / F(3*B)
y3 = F(y2) / F(B)
#now curve is y^2 = x^3 + ax + b
return (x3,y3)
def ECC_to_edwards(x,y):
x2 = (F(x) * F(3*B) - F(A)) / F(3)
y2 = F(y) * F(B)
#now curve is By^2 = x^3 + Ax^2 + x
x1 = F(x2) / F(y2)
y1 = F(1) - (F(2) / F(x2+1))
#now curve is a*x^2+y^2 = 1+dd*x^2*y^2
x_ = F(x1) * F(c)
y_ = F(y1) * F(c)
#now curve is a*x^2+y^2 = c^2(1+d*x^2*y^2)
return (x_,y_)
E = EllipticCurve(GF(p), [a, b])
order = E.order()
eG = E(edwards_to_ECC(eG[0],eG[1]))
t = inverse_mod(e,order)
G = t*eG
G = ECC_to_edwards(G[0],G[1])
print(bytes.fromhex(hex(G[0])[2:]))
#D0g3xGC{SOlvE_The_Edcurv3}

浙公网安备 33010602011771号