【ybt金牌导航3-3-1】任务分配
任务分配
题目链接:ybt金牌导航3-3-1
题目大意
有一些任务,在两个机器的其中一个做各有花费。
然后又一些条件,就是如果一些任务在不同的机器中做有额外的花费。
然后求最小花费。
思路
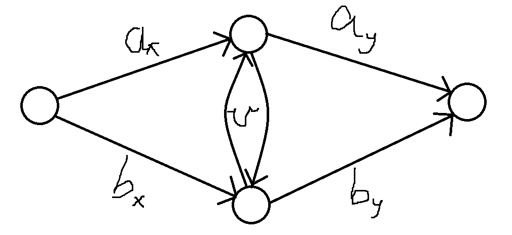
首先,看到这些什么费用额外费用的,会想到用网络流的一个经典模型来解决:

这个是对于有额外费用的情况,就是 \(a,b\) 两点有额外费用为 \(v\) 的关系。
那这个图是什么意思呢?我们可以发现它可以求最小割,最小割就是它的最小费用。
具体为什么你想想每种选的情况,然后对应一下要怎么割边,就发现它是可行的。
那最小割就是最大流,那直接 dinic 就完事了。
代码
#include<queue>
#include<cstdio>
#include<cstring>
#include<iostream>
#define ll long long
using namespace std;
struct node {
ll x, to, nxt, op;
}e[200001];
ll n, m, x, y, v, le[100001], KK;
ll s, t, dis[100001], ans;
void add(ll x, ll y, ll z) {
e[++KK] = (node){z, y, le[x], KK + 1}; le[x] = KK;
e[++KK] = (node){0, x, le[y], KK - 1}; le[y] = KK;
}
bool bfs() {//dinic操作
memset(dis, 0x7f, sizeof(dis));
dis[s] = 0;
queue <int> q;
q.push(s);
if (s == t) return 1;
while (!q.empty()) {
ll now = q.front();
q.pop();
for (ll i = le[now]; i; i = e[i].nxt)
if (dis[e[i].to] > dis[now] + 1 && e[i].x) {
dis[e[i].to] = dis[now] + 1;
if (e[i].to == t) return 1;
q.push(e[i].to);
}
}
return 0;
}
ll dfs(ll now, ll maxn) {
if (now == t) return maxn;
ll now_go = 0;
for (ll i = le[now]; i; i = e[i].nxt)
if (dis[e[i].to] == dis[now] + 1 && e[i].x) {
ll this_go = dfs(e[i].to, min(maxn - now_go, e[i].x));
e[i].x -= this_go;
e[e[i].op].x += this_go;
now_go += this_go;
if (now_go == maxn) return now_go;
}
return now_go;
}
void dinic() {
while (bfs())
ans += dfs(s, 2147483647);
}
int main() {
scanf("%lld %lld", &n, &m);
s = 3 * n + 1;
t = 3 * n + 2;
for (ll i = 1; i <= n; i++) {//建图
scanf("%lld %lld", &x, &y);
add(s, 2 * n + i, x);
add(2 * n + i, t, y);
}
for (ll i = 1; i <= m; i++) {
scanf("%lld %lld %lld", &x, &y, &v);
add(2 * n + x, 2 * n + y, v);
add(2 * n + y, 2 * n + x, v);
}
dinic();
printf("%lld", ans);
return 0;
}

浙公网安备 33010602011771号