最大连续子数组和(最大子段和)
问题描述:给定n个整数(可能为负数)组成的序列a[1],a[2],a[3],…,a[n],求该序列如a[i]+a[i+1]+…+a[j]的子段和的最大值。当所给的整数均为负数时定义子段和为0,依此定义,所求的最优值为: Max{0,a[i]+a[i+1]+…+a[j]},1<=i<=j<=n例如,当(a[1],a[2],a[3],a[4],a[5],a[6])=(-2,11,-4,13,-5,-2)时,最大子段和为20。
--引用自<<百度百科>>
一、程序代码
import java.util.Scanner;
public class Maxarray {
public static int maxSum(int a[], int n)
{
int sum = a[0];
int b = 0;
for(int i=0; i<n; i++)
{
if(b < 0)
b=a[i];
else
b+=a[i];
if(sum < b)
sum = b;
}
return sum;
}
public static void main(String[] args){
int n;
Scanner sc = new Scanner(System.in);
n = sc.nextInt();
int[] a = new int[n];
for(int i=0;i<n;i++){
a[i]=sc.nextInt();
}
int sum = 0;
sum = maxSum(a, n);
System.out.println(sum);
}
}
二、测试设计
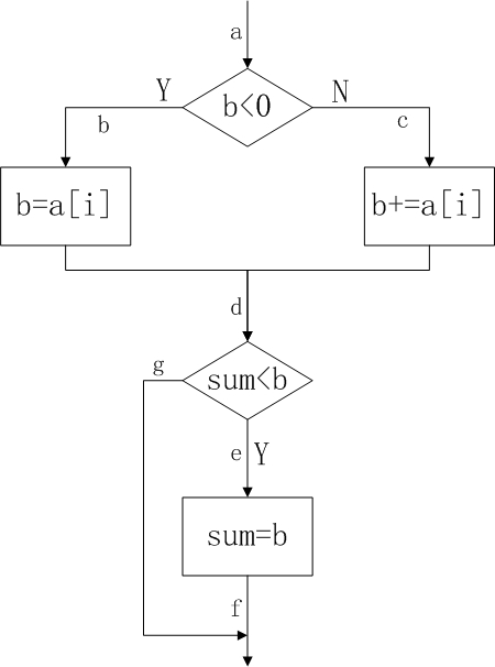
1、功能函数程序段流程图

2、选择覆盖标准
本次测试选用条件组合覆盖
| 覆盖条件 | 执行路径 | 测试用例 | 期待值 |
|---|---|---|---|
| b < 0 && sum < b | abdef | -1 | |
| b < 0 && sum > b | abdg | -1 | |
| b > 0 && sum < b | acdef | 10 | |
| b > 0 && sum > b | acdg | 9 |
三、测试代码
import static org.junit.Assert.*;
import org.junit.Test;
public class Maxarraytest {
@Test
public void maxSum() {
int[] array1 = {-4,-3,-2,-1};
int[] array2 = {-1,-2,-3,-4};
int[] array3 = {1,2,3,4};
int[] array4 = {9,-7,3,-2,1};
assertEquals(-1, new Maxarray().maxSum(array1,4));
assertEquals(-1, new Maxarray().maxSum(array2,4));
assertEquals(10, new Maxarray().maxSum(array3,4));
assertEquals(9, new Maxarray().maxSum(array4,5));
}
}
四、测试结果

浙公网安备 33010602011771号