第七章:最优风险资产组合
投资决策
- 风险资产和无风险
- 大类资产配置
- 资产内部证券选择
风险
- 市场风险
- 公司特有风险
![image]()
股票数量越多,风险越低
衡量:协方差&相关系数
- 协方差:
![image]()
缺点:没强度只有方向 - 相关系数:
\(\rho_{12}=\frac{Cov_{12}}{\sigma_1\sigma_2}\)
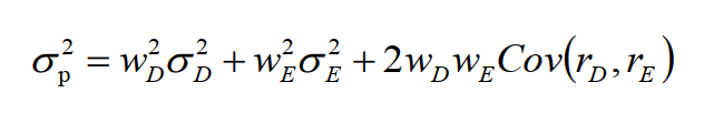
组合方差:![image]()
协方差另外表达:![image]()
只有相关系数=-1才能完全对冲风险,小于1就能分散化风险
最小方差组合和夏普比率
最小方差组合不是夏普比率最高的组合。
顺序:有效前沿->CAL资本配置线切线->无差异曲线(分离定理)里面有国债、有股票、有债券。
马科维茨资产组合模型
- 确定有效边界
- 最小方差边界:给定期望收益方差最低
- 有效边界:给定期望收益风险最小的投资组合集(相同方差期望收益最高)
![image]()
- 寻找夏普比率最高的CAL(切线)
- 在最优风险资产P和无风险资产之间选择合适的比例(无差异曲线)
风险共享
投资各种风险资产,但是资产比例保持不变
有效前沿上的投资组合,风险完全分散化,没有公司特有风险







浙公网安备 33010602011771号