会员
众包
新闻
博问
闪存
赞助商
HarmonyOS
Chat2DB
所有博客
当前博客
我的博客
我的园子
账号设置
会员中心
简洁模式
...
退出登录
注册
登录
Rizadan
博客园
首页
新随笔
联系
订阅
管理
傅里叶变换性质
线性
折叠
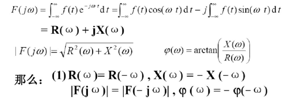
奇偶性
对称性(原理:积分的值与积分变量的名称无关,对等式交换变量)
尺度变化
时移
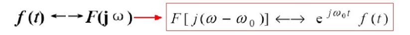
频移
卷积
微分积分
posted @
2025-05-29 21:41
拉闸丹
阅读(
10
) 评论(
0
)
收藏
举报
刷新页面
返回顶部
公告