数值分析
第 2 章
多项式插值法

拉格朗日插值法



牛顿插值法
均差

插值公式

埃尔米特插值法
- 三点三次埃尔米特插值
给定三点信息和一点的导数值信息
利用牛顿插值多项式 + 导数值修正,使得得到的插值多项式满足上述两条件


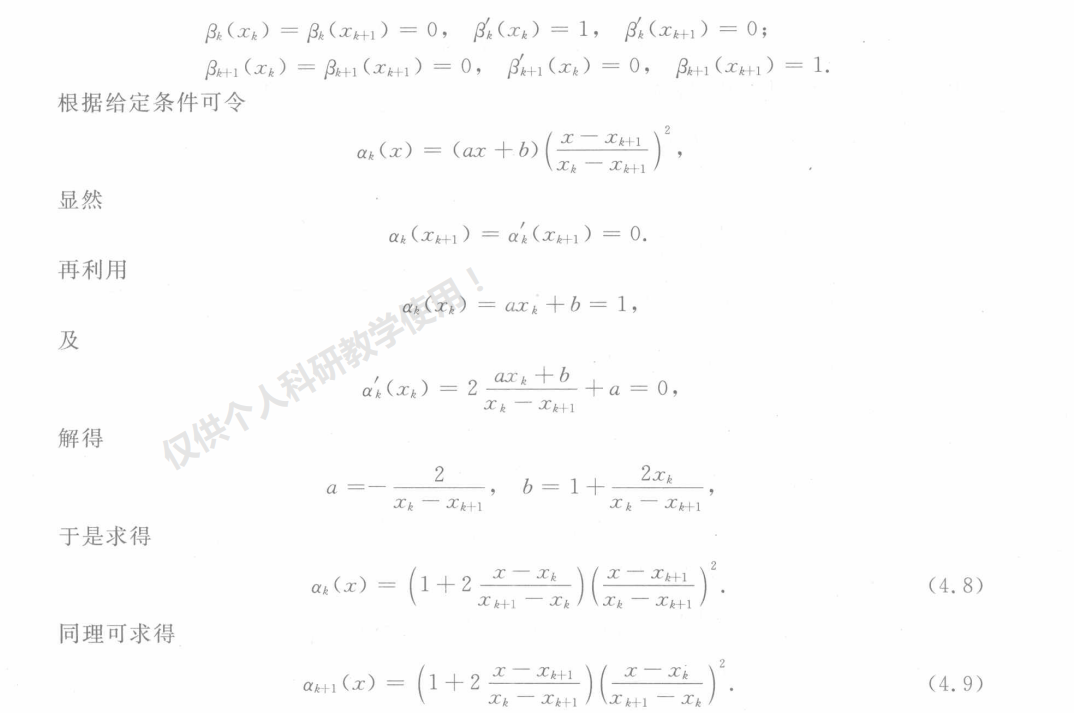
- 两点三次埃尔米特插值
给定两点及其导数信息
类似于拉格朗日插值多项式,构造函数开关使得对应位置在合适的时候取 1 或者 0
列式子好列,但是函数开关不好求,下面推导出来的公式尽可能的记住吧



第 3 章
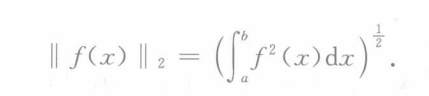
范数

内积


第 8 章
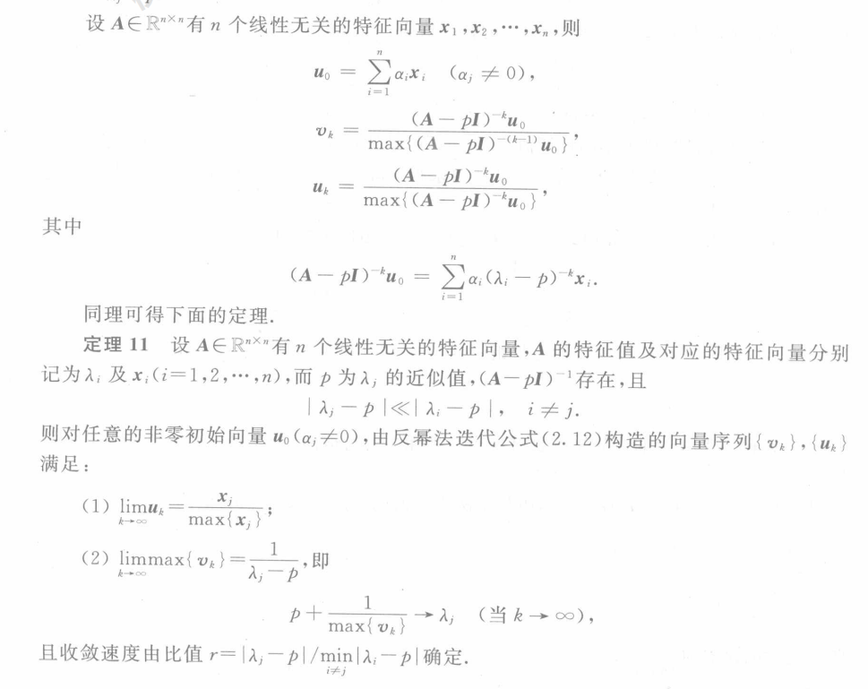
幂法与反幂法
规范后的幂法:书P248

$ u_k $ 表示迭代后的特征向量,$ \mu_k $ 表示特征向量
反幂法:
书P251


在近似值处求解:

书P253


$ u_k $ 表示特征向量,$ \lambda = \lambda_{近似} + \frac{1}{\mu} $
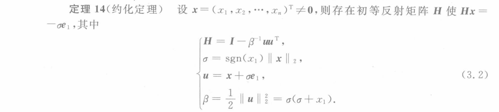
豪斯霍尔德变换(Householder)




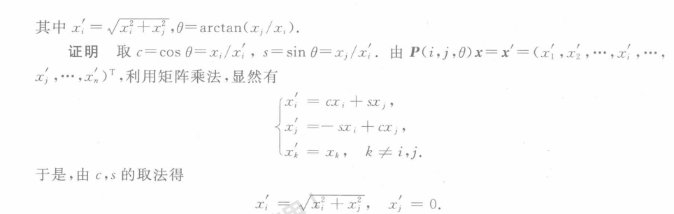
吉文斯变换(Givens)
书P257



QR分解
书P258




QR方法


本文来自博客园,作者:Qiansui,转载请注明原文链接:https://www.cnblogs.com/Qiansui/p/17878178.html

浙公网安备 33010602011771号