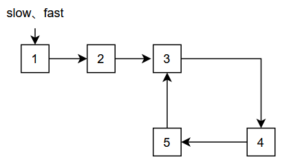
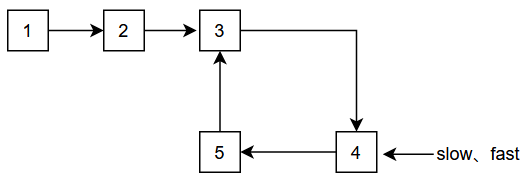
链表中环的入口结点(算法)
思路:快慢指针







代码如下:
public ListNode inNode(ListNode head){ ListNode slow = head;//慢指针 ListNode fast = head;//快指针 while(fast!=null&&fast.next!=null){ fast = fast.next.next; slow = slow.next; if(slow==fast) break; } //判断有无环,若确定有 可去除 if(fast==null||fast.next==null) return null; slow = head; while(slow!=fast){ slow = slow.next; fast = fast.next; } return slow; }
浙公网安备 33010602011771号