[UVA1364 | POJ | NC]Knights of the Round Table | Tarjan 求点双 | 二分图 | 综合图论
题目描述:


题意:
给出n位骑士,然后有m个关系,每个关系以格式:
a
b
a\ b
a b给出,表达骑士
a
a
a不能和
b
b
b相邻,问要想使得最多的奇数个骑士在一起围成一圈,要剔除多少人
solution:
一. part1 : 首先解决这道题要用到的知识点:
1. 建立补图
2. Tarjan求解点双连通分量(V-DCC)并记录 洛谷模板题
3. 奇环
4. 二分图的判定(二分图染色)
二. part2 概念解析:
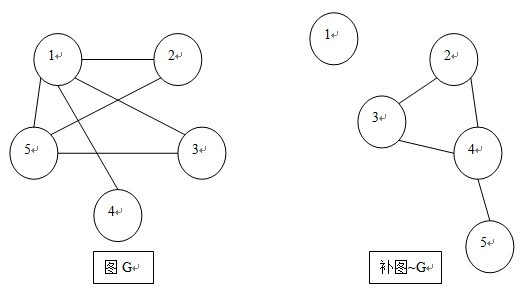
- 所谓补图,就是将原图中连着的边去掉,而将原来没有连的边连接起来。加入原图为
G
G
G,我们设其补图为
G
′
G'
G′,那么说满足以下两个条件:
G ∩ G ′ = ∅ G \cap G' = \varnothing G∩G′=∅
G ∪ G ′ = U G \cup G' = U G∪G′=U
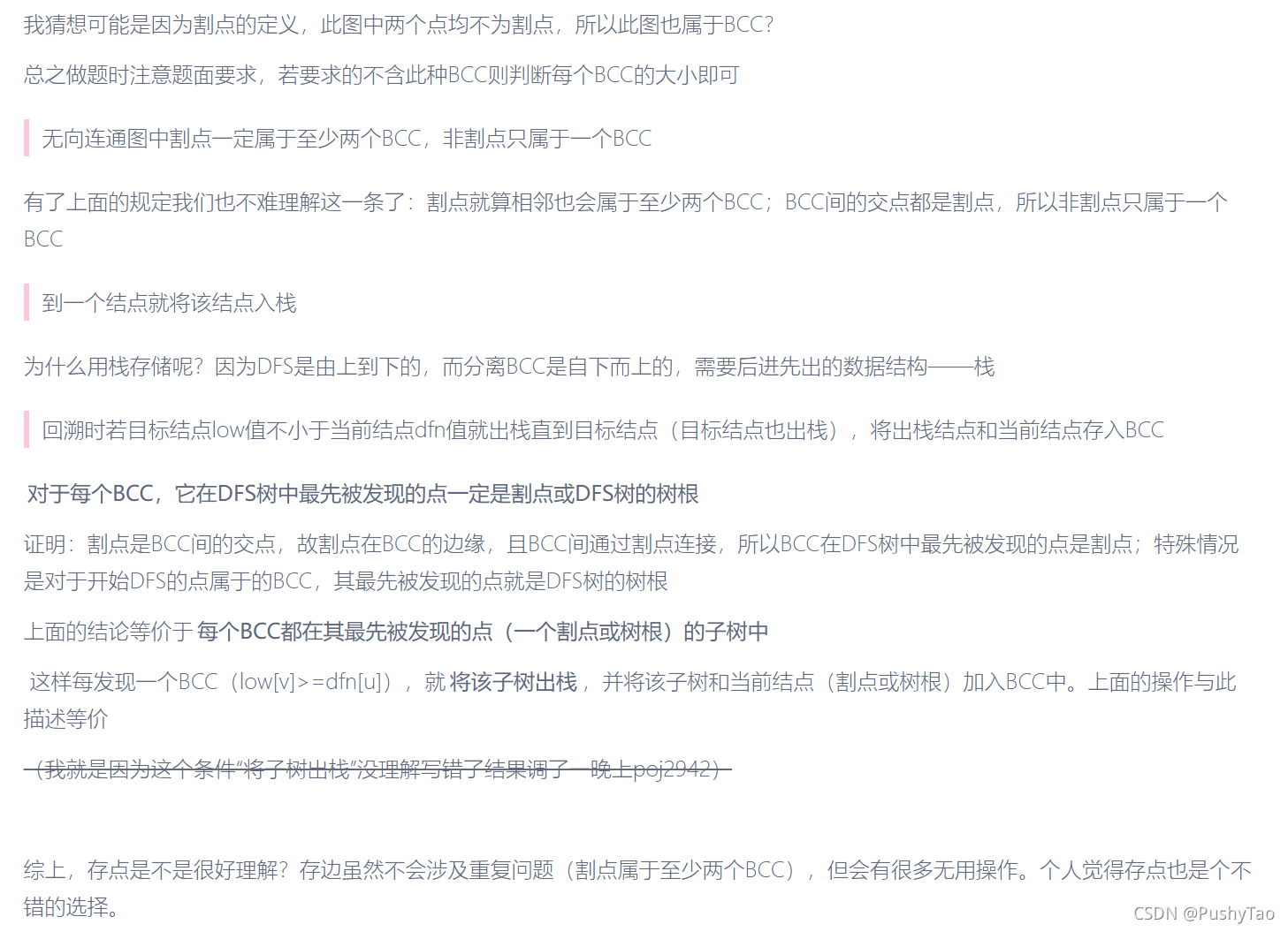
其中 U U U代表全集,即包含 n n n个点, ( n − 1 ) ∗ n / 2 (n-1)*n/2 (n−1)∗n/2条边的图的集合 - Tarjan求解点双连通分量的过程和求解边双连通分量的过程稍有不同,可以参考博客,这里直接截图引入:


- 奇环
一个环内,有奇数个点,那么这个环就是个奇环 - 二分图的判定
用二分图染(交叉)色的方法可以判断图是不是一个二分图
三. part3 思路解析- 发现直接用给出的数据不好进行处理,因为给出的是不能相邻的关系,这里我们逆向思考,建立补图,然后图的意义就发生了翻天覆地的变化:
由原本相连的边是不能相邻的关系转换成了相连的点可以相邻 - 根据题中的要求,要使得相邻的两个人靠在一起,说明能够满足条件的骑士的度数必定
≥
2
\geq 2
≥2,所以说对于那些点的度数
≤
1
\leq 1
≤1的点,都是要被剔除的。
哪些点要被剔除呢?

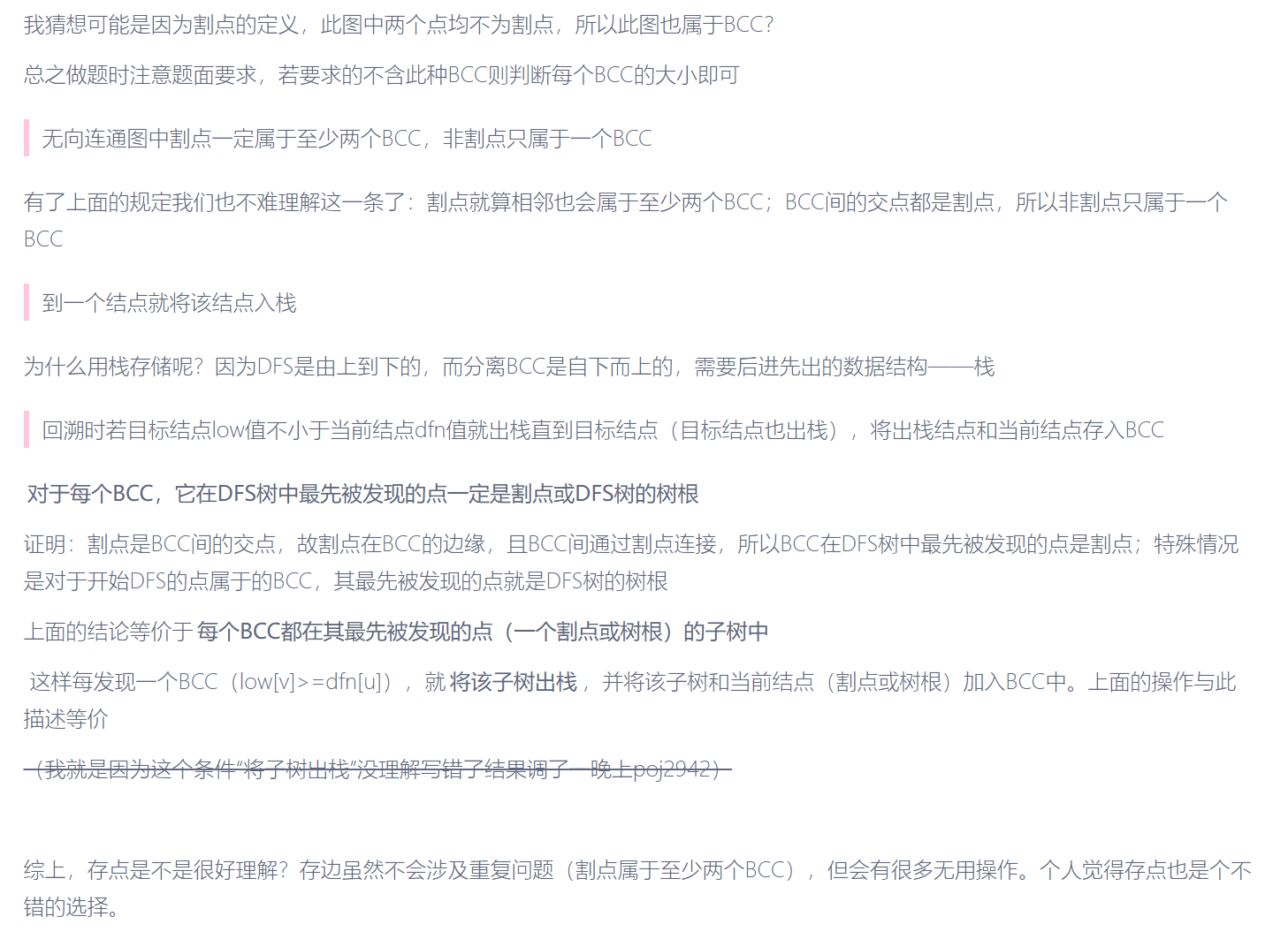
图片来源
我们可以很轻松地发现,被提出的都是在点双连通分量之外的,比如该图中的 1 1 1 和 5 5 5,那么怎么判断哪些点不在环中呢?
此时我们还可以逆向思考, 不 在 环 中 的 = = 总 的 − 在 环 中 不在环中的 == 总的 - 在环中 不在环中的==总的−在环中的,所以说现在问题就转换成了满足条件的环内的点的个数 - 对于那些满足条件的点,留在了环中,但是他们一定满足条件吗?
答案是不一定,因为环中可能不是奇数个点,可能是偶数个
对于一个偶数的环,都是要被整体剔除的! - 所以说现在问题就转换成了求一个点双强连通分量是不是有奇环:
给出一个结论:
结论1:
双连通分量含有奇圈,则必定不是一个二分图,反之亦然成立,所以说如果对一个点双强连通分量染色不成功,那么说这个点双强连通分量中必然含有一个奇环
结论2:
如果一个V-DCC中有一个奇环,那么该V-DCC所有点都在某一个奇环上.为什么呢?假设有一个奇环上的两个点 x , y x,y x,y,该奇环外一个点zz,因为在同一个V-DCC上, x , y , z x,y,z x,y,z肯定在同一个环上.路径 x → z → y → x x\to z \to y \to x x→z→y→x中,因为 x , y x,y x,y在同一个奇环上, y → x y\to x y→x至少有两条路可以走,并且这两条路的奇偶性不同,因此不管怎样都可以找到一个包含 z z z的奇环 x → z → y → x x\to z\to y \to x x→z→y→x.
(如果一个点双连通分量内的某些顶点在一个奇环中(即点双连通分量含有奇环),那么这个点双连通分量的其他顶点也在某个奇环中;)
所以说现在问题就转换成了如何求一个图是不是二分图,这里就用到了二分图交叉染色来处理! - 统计答案
对于上面统计出来的可以加入的点,我们统一标记起来,比如 j u d g e [ i ] judge[i] judge[i]为1的时候表示这个点可以加入,而为0的时候,表示这个点不可以加入,所以说我们记录答案为 a n s = n ans=n ans=n,遍历n个点,遇到 j u d g e [ i ] = = 1 judge[i] == 1 judge[i]==1的情况时, a n s − − ans-- ans−−即可
- 发现直接用给出的数据不好进行处理,因为给出的是不能相邻的关系,这里我们逆向思考,建立补图,然后图的意义就发生了翻天覆地的变化:
至此讲解结束
ac_code:
int n,m,root,cntVDCC;
struct node{
int u,v,nex;
}e[maxn << 1];
int dfn[maxn],low[maxn],cnt,head[maxn],dfc;
void add(int u,int v) {
e[cnt].u = u;
e[cnt].v = v;
e[cnt].nex = head[u];
head[u] = cnt ++;
}
typedef pair<int,int> PII;
map<PII,bool> mp;
bool exist[1007][1007];
stack<int> stk;
void ClearStack() {
while(stk.size()) stk.pop();
}
int col[1007];
vector<int> VDCC[1007];
void _Init() {
dfc = cntVDCC = cnt = 0;
root = 0;
mp.clear();
for(int i=1;i<=n;i++) {
head[i] = -1;
dfn[i] = low[i] = 0;
col[i] = 0;
VDCC[i].clear();
}
}
bool judge[1007],canVis[1007];
void Tarjan(int u){
dfn[u] = low[u] = ++ dfc;
if(head[u] == -1 && u == root) {
++ cntVDCC;
VDCC[cntVDCC].push_back(u);
}
for(int i=head[u];~i;i=e[i].nex) {
int to = e[i].v;
if(!dfn[to]) {
stk.push(to);
Tarjan(to);
low[u] = min(low[u],low[to]);
if(low[to] >= dfn[u]) {
cntVDCC ++;
while(stk.top() != to) {
VDCC[cntVDCC].push_back(stk.top());
stk.pop();
}
VDCC[cntVDCC].push_back(stk.top());
stk.pop();
VDCC[cntVDCC].push_back(u);
/**
VDCC[cntVDCC].push_back(u);
int tp;
do{
tp = stk.top();
stk.pop();
VDCC[cntVDCC].push_back(tp);
}while(tp != to);
**/
}
}///else if(to != fa) low[u] = min(low[u], dfn[to]);
else low[u] = min(low[u], dfn[to]);
}
}
bool dfs(int u){
for(int i=head[u];~i;i=e[i].nex) {
int to = e[i].v;
if(canVis[to]) {
if(!col[to]) {
col[to] = 3 - col[u];
if(!dfs(to)) return false;
}else if(col[u] + col[to] != 3) return false;
}
}
return true;
}
int main() {
while(cin >> n >> m && (n + m)) {
_Init();
ClearStack();
memset(exist,0,sizeof exist);
for(int i=1;i<=m;i++) {
int u = read,v = read;
// mp[{u,v}] = mp[{v,u}] = 1;///TLE罪魁祸首
exist[u][v] = exist[v][u] = 1;///标记边
}
for(int i=1;i<=n;i++){
for(int j=1+i;j<=n;j++){
// if(mp[{i,j}]) continue;
if(exist[i][j]) continue;
add(i,j);//建立补图
add(j,i);
}
}
for(int i=1;i<=n;i++){
if(!dfn[i]) {
root = i;
Tarjan(i);
}
}
memset(judge,0,sizeof judge);
memset(canVis,0,sizeof canVis);
// debug(cntVDCC);
for(int i=1;i<=cntVDCC;i++) {
for(int x:VDCC[i]) canVis[x]=1;///标记为可以通过
if(!dfs(VDCC[i][0])) {///染色不成功,含有奇环
for(int x:VDCC[i]) judge[x] = 1;
}
for(int x:VDCC[i]) canVis[x]=0,col[x]=0;///撤销标记以及颜色
}
int ans = n;//统计答案
for(int i=1;i<=n;i++) {
if(judge[i]) -- ans;
}
printf("%d\n",ans);
}
return 0;
}

浙公网安备 33010602011771号