标准化和归一化的区别
一、是什么?
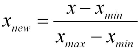
1. 归一化
是为了将数据映射到0~1之间,去掉量纲的过程,让计算更加合理,不会因为量纲问题导致1米与100mm产生不同。


归一化是线性模型做数据预处理的关键步骤,比如LR,非线性的就不用归一化了。
归一化就是让不同维度之间的特征在数值上有一定比较性,可以大大提高分类器的准确性。
缺点:这种方法有个缺陷就是当有新数据加入时,可能导致max和min的变化,需要重新定义。
另外,最大值与最小值非常容易受异常点影响,所以这种方法鲁棒性较差,只适合传统精确小数据场景
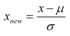
2. z-标准化
消除分布产生的度量偏差,例如:班级数学考试,数学成绩在90-100之间,语文成绩在60-100之间,那么,小明数学90,语文100,小花数学95,语文95,如何评价两个综合成绩好坏的数学处理方式。

二、怎么选?
1. 标准化
- 标准化更好保持了样本间距。当样本中有异常点时,归一化有可能将正常的样本“挤”到一起去。比如三个样本,某个特征的值为1,2,10000,假设10000这个值是异常值,用归一化的方法后,正常的1,2就会被“挤”到一起去。如果不幸的是1和2的分类标签还是相反的,那么,当我们用梯度下降来做分类模型训练时,模型会需要更长的时间收敛,因为将样本分开需要更大的努力!而标准化在这方面就做得很好,至少它不会将样本“挤到一起”。
- 标准化更符合统计学假设:对一个数值特征来说,很大可能它是服从正态分布的。标准化其实是基于这个隐含假设,只不过是略施小技,将这个正态分布调整为均值为0,方差为1的标准正态分布而已。
(1)逻辑回归必须要进行标准化吗?
答案:这取决于我们的逻辑回归是不是用正则。
  如果你不用正则,那么,标准化并不是必须的,如果你用正则,那么标准化是必须的。(暗坑3)
  为什么呢?
  因为不用正则时,我们的损失函数只是仅仅在度量预测与真实的差距,加上正则后,我们的损失函数除了要度量上面的差距外,还要度量参数值是否足够小。而参数值的大小程度或者说大小的级别是与特征的数值范围相关的。举例来说,我们用体重预测身高,体重用kg衡量时,训练出的模型是: 身高 = 体重*x ,x就是我们训练出来的参数。
当我们的体重用吨来衡量时,x的值就会扩大为原来的1000倍。
  在上面两种情况下,都用L1正则的话,显然对模型的训练影响是不同的。
假如不同的特征的数值范围不一样,有的是0到0.1,有的是100到10000,那么,每个特征对应的参数大小级别也会不一样,在L1正则时,我们是简单将参数的绝对值相加,因为它们的大小级别不一样,就会导致L1最后只会对那些级别比较大的参数有作用,那些小的参数都被忽略了。
如果你回答到这里,面试官应该基本满意了,但是他可能会进一步考察你,如果不用正则,那么标准化对逻辑回归有什么好处吗?
答案是有好处,进行标准化后,我们得出的参数值的大小可以反应出不同特征对样本label的贡献度,方便我们进行特征筛选。如果不做标准化,是不能这样来筛选特征的。
答到这里,有些厉害的面试官可能会继续问,做标准化有什么注意事项吗?
最大的注意事项就是先拆分出test集,不要在整个数据集上做标准化,因为那样会将test集的信息引入到训练集中,这是一个非常容易犯的错误!
2. 归一化
模型算法里面有没关于对距离的衡量,没有关于对变量间标准差的衡量。比如decision tree 决策树,他采用算法里面没有涉及到任何和距离等有关的,所以在做决策树模型时,通常是不需要将变量做标准化的。
在不涉及距离度量、协方差计算、数据不符合正太分布的时候,可以使用归一化方法。比如图像处理中,将RGB图像转换为灰度图像后将其值限定在[0 255]的范围。有时候,我们必须要特征在0到1之间,此时就只能用归一化。有种svm可用来做单分类,里面就需要用到归一化。
 
                    
                     
                    
                 
                    
                
 
 
                
            
         
         浙公网安备 33010602011771号
浙公网安备 33010602011771号