【NOIP校内模拟】T1 膜法(组合数)
整理题意后 对于每个询问其实就是

由于C(m,n)=C(m,m-n)
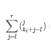
就变成了

其实就是在杨辉三角上的一列求其中的一段和
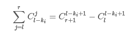
然后有个玄学的公式

什么意思呢

证明是很容易得到的
所以把阶乘预处理出来 由于1e9+7是质数 可以用费马小定理算逆元 就可以O(1)回答
#include<bits/stdc++.h>
#define N 100010
#define mod 1000000007
#define int long long
using namespace std;
inline int qpow(int x,int y)
{
int base=x,ans=1;
while(y)
{
if(y&1) ans=(ans*base)%mod;
base=(base*base)%mod;
y>>=1;
}
return ans;
}
int n,m,fac[N],inv[N];
void init()
{
fac[0]=1;
for(int i=1;i<=n+5;i++) fac[i]=fac[i-1]*i%mod;
for(int i=0;i<=n+5;i++) inv[i]=qpow(fac[i],mod-2);
}
int C(int m,int n)
{
return ((fac[m]*inv[n])%mod*inv[m-n])%mod;
}
main()
{
cin>>n>>m;
init();
int ans=1;
for(int i=1;i<=m;i++)
{
int l,r,k;
scanf("%d%d%d",&l,&r,&k);
int tmp=C(r+1,l-k+1)-C(l,l-k+1);
while (tmp<0) tmp+=mod;
ans=ans*tmp%mod;
}
cout<<ans;
return 0;
}
QQ40523591~欢迎一起学习交流~

浙公网安备 33010602011771号