莫比乌斯反演学习笔记
刚接触这些东西感觉整个人都不好了
由于涉及大量公式所以将大面积粘贴各种图片,基本来自wiki
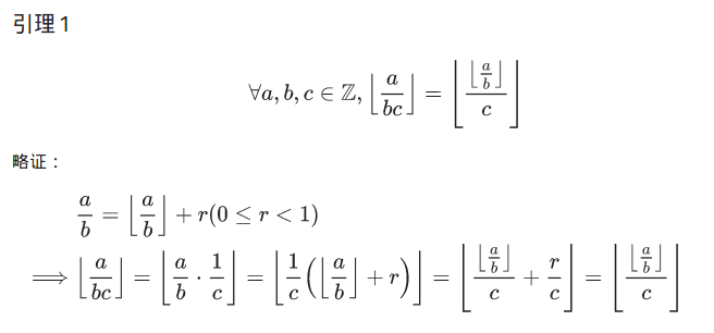
两个引理

证明就是利用向下取整把后面的\(r\)搞没了

对于任意\(d\)取便整数集合,\(\lfloor \frac{n}{d} \rfloor\)最多仅有\(2 \sqrt{n}\)种取值
证明比较直观就不解释了
这个东西主要作用是数论分块
也就是你找出连续的一段,这段里的\(\lfloor \frac{n}{d} \rfloor\)都一样,就能快速算
每次先用上一次的右边界加上1作为现在的左边界,用\(\lfloor \frac{n}{\lfloor \frac{n}{d} \rfloor} \rfloor\)作为右边界,就可以的到一个区间,常用与计算最终答案
积性函数

在whk中有做过这方面的题,定义主要是方便理解,记住关键是乘积

前面几个就是对积性函数进行各种变换之后还是积性函数,后面就是质因数分解了
接下来是几个常用函数:
单位函数:\(\varepsilon(n)=[n=1]\)
恒等函数:\(id(n)=n\)
常数函数:\(I(n)=1\)
约数函数:\(\sigma_{k}(n)=\sum_{d\mid n}d^{k}\),\(\sigma_0 n=d(n)\)
欧拉函数:\(\varphi(n)=\sum_{i=1}^n [\gcd(i,n)=1]\)
莫比乌斯函数:\(\mu(n) = \begin{cases}1 & n=1 \\ 0 & \exists d>1,d^{2} \mid n \\ (-1)^{\omega(n)} & \texttt{otherwise}\end{cases}\)
\(\omega(n)\)表示\(n\)的本质不同质因子个数
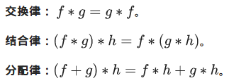
卷积

于是得到以下性质:

然后对于上面的几个函数有这么几个柿子
前两个根据函数定义带进去就能证
第三个
相当与一开始假定不能整除的有\(n\)个,然后减去因子,再补上减多的,相当与一个容斥
最后一个只要两边都卷一个\(\mu\)再利用上面的柿子就有了
这个玩意的主要用途是各种化简柿子
莫比乌斯函数

乍一看为啥搞了个这东西,因为他有用,能化简各种毒瘤式子
一个性质:

证明一下,如果在枚举的\(d\)中一旦出现了2个以上相同质因子,必定没贡献
所以只要考虑\(n\)的所有次数为1的因子的贡献是0还是1
枚举\(d\),考虑这时函数值只与的的质因子个数有关
改变枚举方向,枚举质因子数\(cnt\),则有:
二项式定理把它变成(1-1)^{cnt},就是单位函数
然后是最重要的一个结论:

证明用上面的性质很好推出来,做题基本靠他
莫比乌斯反演

证明可以推式子再结合实际意义,不过直接卷也能证
高级一点的推柿子要用到
还有一个博客感觉比较适合入门
线性筛
基本所有积性函数和一些非积性函数可以用线性筛出来
由于没做题就先咕了,剩下的做点题有感觉了再说

浙公网安备 33010602011771号