数学建模——优化类算法入门
数学建模——优化类算法入门
一、线性规划
1、基础理解
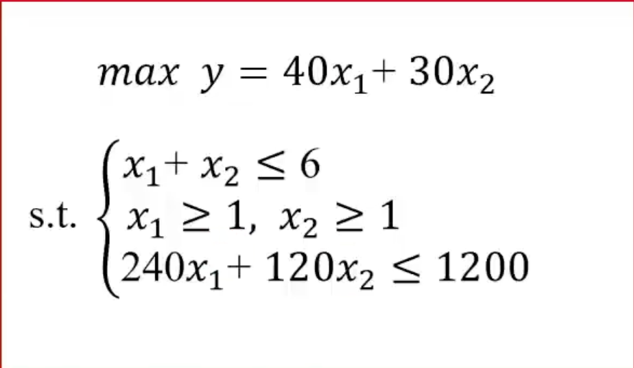
在有限条件下,最大的收益

论文书写中s.t.就是约束条件的意思
一组公式,加上对公式中每个变量的解释,就是线性规划模型



出现x方就不算线性规划了
2、典型赛题

这里注意总收益和总收益率,总收益率=收益/成本,成本设为x',则收益率=收益乘以x'的负一次方,不是一次方就不属于线性规划


二、非线性规划
1、基础理解


2、典型赛题

在有限条件下,最大的收益

论文书写中s.t.就是约束条件的意思
一组公式,加上对公式中每个变量的解释,就是线性规划模型



出现x方就不算线性规划了

这里注意总收益和总收益率,总收益率=收益/成本,成本设为x',则收益率=收益乘以x'的负一次方,不是一次方就不属于线性规划




