LeetCode-刷题笔记 160.相交链表
160.相交链表
这是一个浪漫的问题
题目介绍:
给你两个单链表的头节点 headA 和 headB ,请你找出并返回两个单链表相交的起始节点。如果两个链表没有交点,返回 null 。
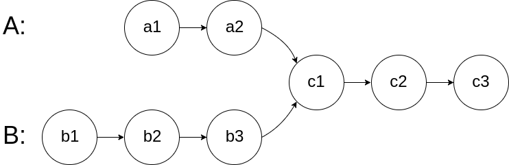
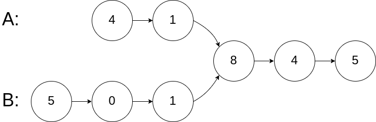
图示两个链表在节点 c1 开始相交:
。
题目数据 保证 整个链式结构中不存在环。
注意,函数返回结果后,链表必须 保持其原始结构 。
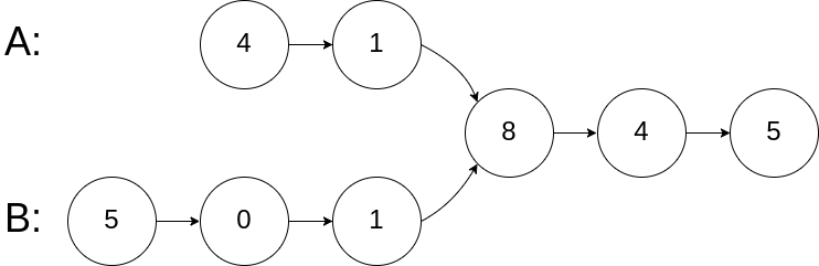
示例 1:

输入:intersectVal = 8, listA = [4,1,8,4,5], listB = [5,0,1,8,4,5], skipA = 2, skipB = 3
输出:Intersected at '8'
解释:相交节点的值为 8 (注意,如果两个链表相交则不能为 0)。
从各自的表头开始算起,链表 A 为 [4,1,8,4,5],链表 B 为 [5,0,1,8,4,5]。
在 A 中,相交节点前有 2 个节点;在 B 中,相交节点前有 3 个节点。
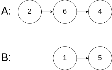
示例2:

输入:intersectVal = 0, listA = [2,6,4], listB = [1,5], skipA = 3, skipB = 2
输出:null
解释:从各自的表头开始算起,链表 A 为 [2,6,4],链表 B 为 [1,5]。
由于这两个链表不相交,所以 intersectVal 必须为 0,而 skipA 和 skipB 可以是任意值。
这两个链表不相交,因此返回 null 。
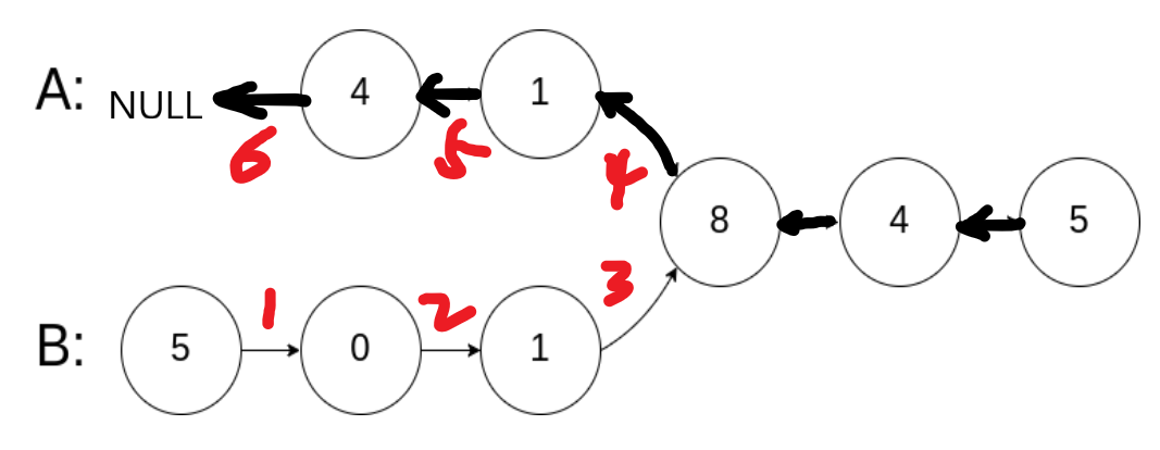
思路1:一开始我是有一个思路,并没有用到双指针,用到了反转链表:以示例1为例,现将A链表反转,这样从headB遍历到NULL需要走6步,如题所示:
这时用计数器i存储6;
然后从反转后的链表A的头结点向后面的节点遍历依次让其指向NULL,即
struct ListNode * pA = 反转后A链表的头结点;
pA->next = NULL;
这时从headB再次向后遍历,得到其到达NULL值所走的步数仍为6
然后让pA = pA->next
重复此操作,直到pA指向了相交节点,如图所示:
这时遍历headB的指针走到相交节点就会遇到NULL从而退出,这时走过的步数为4步,4不等于6,所以就找到了这个相交节点
但是代码实现一直都有错误。。。。。
所以就有了标准答案思路2。
思路2:双指针
同样以示例1为例:

定义boy和girl分别指向headA和headB,然后各自向下遍历,直到其中一个指到NULL:

这时让boy指向headB:

然后再向下遍历,然后girl就会指向NULL,然后同样让girl指向headA:

这时,boy和girl在这段时间内实际所走的结点数是相等的,他们各自来到了对方的链表,然后让他们继续遍历,直到boy==girl,直到相遇,他们所走的结点数都是相等的。

代码实现:
struct ListNode *getIntersectionNode(struct ListNode *headA, struct ListNode *headB) { if (headA == NULL || headB == NULL) { return NULL; } struct ListNode *pA = headA, *pB = headB; while (pA != pB) { pA = pA == NULL ? headB : pA->next; pB = pB == NULL ? headA : pB->next; } return pA; }
对的人最后总是相遇,我走过你走过的路。
多么浪漫的一道算法题!

浙公网安备 33010602011771号