LeetCode刷题笔记 -—- 206. 反转链表
206. 反转链表
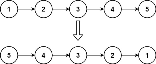
给你单链表的头节点 head ,请你反转链表,并返回反转后的链表。
示例 :

输入:head = [1,2,3,4,5]
输出:[5,4,3,2,1]
方法1.迭代:
定义三个指针,然后进行迭代,从而改变next指向。

struct ListNode { int val; struct ListNode *next; }; struct ListNode* reverseList(struct ListNode* head){ struct ListNode * cur = head; struct ListNode * las = NULL; while(cur){ struct ListNode * nextTemp = cur.next; cur.next = las; las = cur; cur = nextTemp; } }
方法2.递归

使用递归解题,需要以下条件:
1.大问题拆成两个子问题
2.子问题与大问题的求解方式一样
3.存在最小子问题
此题就是将链表拆成head和子链表两部分,然后重复拆分,然后使head.next.next = head,head.next = null;
struct ListNode* reverseList(struct ListNode* head) { if (head == NULL || head->next == NULL) { return head; } struct ListNode* newHead = reverseList(head->next); head->next->next = head; head->next = NULL; return newHead; }

浙公网安备 33010602011771号