树
树
为什么要有树?
线性结构中存在问题:查找 和 插入 操作的繁琐
二叉树
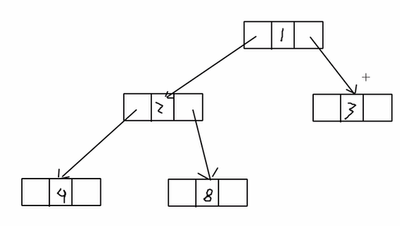
1.链式存储的二叉树

遍历 、查找、 删除
package 二叉树; public class 二叉树 { public static void main(String[] args) { // TODO Auto-generated method stub //创建一棵树 binarytree bintree=new binarytree(); //创建根节点 treenode root=new treenode(1); //根节点赋给树 bintree.setRoot(root); //创建两个节点 treenode l=new treenode(2); treenode r=new treenode(3); root.setLefTreenode(l); root.setRighTreenode(r); l.setLefTreenode(new treenode(4)); l.setRighTreenode(new treenode(5)); r.setLefTreenode(new treenode(6)); r.setRighTreenode(new treenode(7)); //前序遍历树 bintree.frontshow(); //前序查找 treenode resulTreenode=bintree.frontsearch(5); System.out.println(resulTreenode ); //删除1个子树 bintree.delete(2); bintree.frontshow(); } }
package 二叉树; public class binarytree { treenode root; public treenode getRoot() { return root; } public void setRoot(treenode root) { this.root = root; } public void frontshow() { root.frontshow(); } public treenode frontsearch(int i) { return root.frontsearch(i); } public void delete(int i) { // TODO Auto-generated method stub if(root.value ==i) { root=null; }else { root.delete(i); } } }
package 二叉树; public class treenode { int value; treenode lefTreenode; treenode righTreenode; public treenode(int value) { this.value=value; } public treenode getLefTreenode() { return lefTreenode; } public void setLefTreenode(treenode lefTreenode) { this.lefTreenode = lefTreenode; } public treenode getRighTreenode() { return righTreenode; } public void setRighTreenode(treenode righTreenode) { this.righTreenode = righTreenode; } //前序遍历 public void frontshow() { // TODO Auto-generated method stub System.out.println(value); if(lefTreenode !=null) { lefTreenode.frontshow(); } if(righTreenode !=null) { righTreenode.frontshow(); } } public treenode frontsearch(int i) { // TODO Auto-generated method stub //对比当前值 treenode target =null; //先对比当前值 if(this.value==i) { return this; }else { //再对比左节点的值 if(lefTreenode !=null) { target=lefTreenode.frontsearch(i); } //如果target不为空,就说明找到了。 if(target!=null) { return target; } if(righTreenode !=null) { target =righTreenode.frontsearch(i); } } return target; } //删除子树 public void delete(int i) { // TODO Auto-generated method stub treenode parenTreenode=this; //判断左儿子 if(parenTreenode.lefTreenode!=null&&parenTreenode.lefTreenode.value==i) { parenTreenode.lefTreenode=null; return; } if(parenTreenode.righTreenode!=null&&parenTreenode.righTreenode.value==i) { parenTreenode.righTreenode=null; return; } //递归检查左儿子 parenTreenode=lefTreenode ; if(parenTreenode !=null) { parenTreenode.delete(i); } parenTreenode=righTreenode ; if(parenTreenode !=null) { parenTreenode.delete(i); } } }
2.顺序存储的二叉树
顺序存储的二叉树通常情况只考虑完全二叉树。因为对于其他二叉树而言,不能满足顺序存储的结果。
性质
对于第n个元素的左子节点是2*n+1;右子节点2*n+2;父节点(n-1)/2;(可用于遍历操作)
遍历
package 二叉树; public class arraybinarytree { int[] data; public arraybinarytree(int[] data) { super(); this.data = data; } //前序遍历顺序存储的二叉树 public void frontshow(int index) { if(data==null||data.length==0)return; //先遍历当前节点 System.out.println(data[index]); //左子树 2*index+1 if(2*index+1<data.length)frontshow(2*index+1); if(2*index+2<data.length)frontshow(2*index+2); } }
堆排序
升序->大顶堆
堆是一颗完全二叉树。
堆排序的思想:
1.将初始待排关键字序列构建成大顶堆;(初始堆:从最后1个非叶子节点开始调整)
2.将堆顶元素与最后1个元素进行交换,得到新的无序区(r1...r(n-1))和有序区rn
3.由于交换后新的堆顶可能违反堆的性质,再将无序区调整为新堆,将r1与无序区的的最后1个元素交换,得到新的
无序区(r1...r(n-2))和有序区(rn-1,rn),不断重复。
package 堆; import java.lang.reflect.Array; import java.util.Arrays; public class heap { public static void main(String[] args) { // TODO Auto-generated method stub int[] arr=new int[] {9,6,8,7,0,1,10,4,2}; //从最后1个非叶子节点开始调整,也就是最后1和叶子节点的父节点 int start=(arr.length-1)/2; //结束位置 数组的长度-1; for(int i=start;i>=0;i--) { maxheap(arr, arr.length, i); } System.out.println(Arrays.toString(arr)); } //size加入堆的元素个数,防止越界 //排序 public static void heapsort(int[] arr) { int start=(arr.length-1)/2; for(int i=start;i>=0;i--) { maxheap(arr, arr.length, i); } //调整为大顶堆 for(int i=arr.length-1;i>0;i--) { int tmp=arr[0]; arr[0]=arr[i]; arr[i]=tmp; maxheap(arr, i, 0); } } public static void maxheap(int[] arr, int size, int index) { //左子节点 int leftnode=2*index+1; int rightnode=2*index+2; int max=index; if(leftnode<size&&arr[leftnode]>arr[max]){ max=leftnode; } if(leftnode<size&&arr[rightnode]>arr[max]){ max=rightnode; } //交换位置 if(max!=index) { int tmp=arr[index]; arr[index]=arr[max]; arr[max]=tmp; //交换位置之后,可能会破坏之前排好的堆,所以,之前排好的堆要重新调整 maxheap(arr, size, max); } } }
线索二叉树
线索化:前序 中序 后序化
赫夫曼树
最优二叉树。n个带权叶子结点构成的所有二叉树中,带权路径最小的二叉树。
叶结点的带权路径:从根节点开始到叶子节点路径中经过的节点(不包括叶子节点)乘以叶子节点的权值。
树的带权路径长度wpl:所有叶子节点带权值之和。
wpl最小的树为赫夫曼树。(权值大的节点离根节点尽量近)
赫夫曼编码步骤:
统计字符数并排序
(取出根节点权值最小的两颗二叉树
组成1颗新的二叉树
根节点权值是前面两颗二叉树权值之和
重复以上步骤)
创建赫夫曼树
赫夫曼编码表
赫夫曼编码
非定长编码:
前缀编码:字符的编码都不能是其他字符编码的前缀。
赫夫曼编码:

不会出现不满足前缀编码的问题,每个字母对应的路径是唯一的。
二叉排序树BST
方便查找 删除
缺点:左斜或者右斜
平衡二叉树AVL
前提:是1颗二叉排序树。左子树和右子树高度差不超过1.
优点:查找效率比较高。
计算机中数据的存储原理
多路查找树(2-3树和2-3-4树 B树和B+树)
磁盘的预读:
由于磁盘的读写速度问题,要尽量减少磁盘io操作,所以磁盘往往不是严格按需读取,而是每次都会预读,即使只需要1个字节,磁盘也会从这个位置开始,顺序向后读取一定长度的数据到内存,也就是局部性原理。
预读的长度一般是页page的整数倍。
页:1个存储块,4K.
文件系统利用磁盘预读原理,将1个节点的大小设为1个页的大小,这样每个节点只需要1次io。
二叉树:当数据量非常大时,二叉树的高度会很高;另一方面,每读取1个节点进行1次io操作,消耗性能。
改进:B树。
2-3树(B树的一种)
二节点:有两个子节点的节点
三节点:有三个子节点的节点
二节点要么有两个子节点,要么没有;三节点要么有三个子节点,要么没有。
红黑树
也是二分查找树。
根节点是黑色的,每个叶子节点(最后的空节点)是黑色的,如果1个节点是红色的,那么他的孩子都是黑色的。
从任意1个节点到叶子节点,经过的黑色节点是一样的。
(理解:2-3树任意1个节点到某节点经过的节点树一定相同,而2节点和3节点转化为红黑树时都会有1个黑节点,等价性)
Donald Knuth 计算机编程的艺术
红黑树与2-3树的等价性
2-3树
满足二分查找树的基本性质
节点可以存放1个或者两个元素

2-3树是一颗绝对平衡的树。
2-3是如何维持绝对平衡的?
如果插入2节点,就变成3节点;如果插入3节点,就暂时变成4节点,然后进行拆解变形。,保持平衡性。



红黑树时保持黑平衡的二叉树,严格意义上讲,不是平衡二叉树。所以在查找性能上,红黑树会慢于平衡二叉树。
但是添加或者删除,性能更高。
最大高度:2lonn 遍历时间复杂度:o(logn)
应用场景:
| 应用场景 | |
| B树 | 数据库和文件系统。(将相关数据尽量集中在一起,1次读取多个数据,减少磁盘IO) |
| B+树 | mysql索引(每个关键字不保存数据,只用来索引,数据保存在叶子节点中)(叶子节点存放记录以链表形式连接,范围查找和查询效率高) |
| 红黑树 | 搜索时,插入删除次数多时代替AVL:java中的treemap;linux进程调度,管理进程控制块 |
| AVL | 适合插入删除少,查询多的情况:windows对进程地址空间的管理。 |
AV树是严格维持平衡的,但是维持平衡本身需要额外的操作,加大了数据结构的时间复杂度;二叉搜索树可能会变成左斜或者右斜。综合以上两者,红黑树可以理解为AVL和二叉搜索树的折中:尽量维持数的平衡,又不花过多的时间维持数据结构的性质。
B+树相对B树的优点:
①B+树的所有Data域在叶子节点,一般来说都会进行一个优化,就是将所有的叶子节点用指针串联起来,遍历叶子节点就能获取全部数据,这样就能进行区间访问了。
②IO一次读数据是从磁盘上读的,磁盘容量是固定的,取数据量大小是固定的,非叶子节点不存储数据,节点小,磁盘IO次数就少。
B树:平衡树。
关键字集合分布在整棵树中;
搜索性能等价于在关键字全集内做二分查找。
B+树:
所有数据放在叶子节点的链表中,并且链表中的关键字也是有序的;
不可能在非叶子节点命中;
非叶子节点相当于是叶子节点的索引;更加适合文件索引系统。

浙公网安备 33010602011771号