ECC椭圆曲线算法-2

转:https://wonderful.blog.csdn.net/article/details/72850598

有限域和离散对数问题

这篇文章是ECC系列的第2篇。
专栏:https://blog.csdn.net/mrpre/category_6952288.html

在上一篇文章中,我们看到了基于实数域的的椭圆曲线如何构成了群(Group),我们如下定义了群中的加法:P + Q + R = 0,我们分别用几何方法和代数方法计算了了椭圆曲线点的加法。
随后,我们有介绍了数乘(nP = P + P + P + … + P),然后找到了一个较为快速的计算nP的算法:double and add。

现在,我们要限制我们的椭圆曲线在有限域上(实数域不是有限域),而不是实数域,让我们来看看有哪些变化。

The field of integers modulo p

有限域,首先是一个拥有有限元素的几何。例如,一个简单的有限域就是以素数p为模数的数的集合(模P余数的集合,即模p剩余类环),常被写为Z/p,GF§,Fp,我们在后文会这么描述一个模P的有限域。

在域中,我们有2种二元运算,加法 和 乘法,两者运算都是封闭的、满足结合律、分配率。两个运算都是唯一的单位元。并且对于每一个元素,都有唯一的逆元。最后,乘法对加法满足分配率:x ( y + z) = xy + x*z.

整数模p的集合,包括了从0~p-1的数,加法和乘法的运算都是模p的。下面是F23例子。

加法:(18 + 9)mod 23 = 4
减法:(7 - 14) mod 23 = 16
乘法:4 * 7 mod 23 = 5
加法逆元: x + 5 = 0 mod 23 => x= 18
乘法逆元: x *9 = 1 mod 23 => x= 18
(上面两个例子和原文中不一样,个人觉得原文中举例不恰当。
作为加法群,单位元为0,作为乘法群,单位元为1。
乘法逆元使用欧几里得拓展算法可求x,即 9x - 23y = 1,辗转相除即可求得x值x = -5,去其最小正整数则为18。

上文已说过,如果p是素数,则模p剩余类环是域。P是素数很重要,如果p不是素数,比如p=4,则集合Zp={0, 1, 2, 3},显然2没有逆元。
(
21 mod 4 = 2
2
2 mod 4 = 0
2*3 mod 4 = 2
没有逆元
)

模p作用的除法运算

我们将要定义在Fp上的椭圆曲线,但是在这之前,我们需要弄清几点概念。
x/y代表什么?数论中,x/y表示 x* y^-1,即 x 乘上 y的逆元。所以除法运算分为两步:第一步求逆元,第二步计算乘法。
乘法逆元可以使用欧几里得拓展算法轻松的计算,这里不多讲欧几里得拓展算法的细节,只是贴出Python代码

def extended_euclidean_algorithm(a, b):
    """
    Returns a three-tuple (gcd, x, y) such that
    a * x + b * y == gcd, where gcd is the greatest
    common divisor of a and b.

    This function implements the extended Euclidean
    algorithm and runs in O(log b) in the worst case.
    """
    s, old_s = 0, 1
    t, old_t = 1, 0
    r, old_r = b, a

    while r != 0:
        quotient = old_r // r
        old_r, r = r, old_r - quotient * r
        old_s, s = s, old_s - quotient * s
        old_t, t = t, old_t - quotient * t

    return old_r, old_s, old_t


def inverse_of(n, p):
    """
    Returns the multiplicative inverse of
    n modulo p.

    This function returns an integer m such that
    (n * m) % p == 1.
    """
    gcd, x, y = extended_euclidean_algorithm(n, p)
    assert (n * x + p * y) % p == gcd

    if gcd != 1:
        # Either n is 0, or p is not a prime number.
        raise ValueError(
            '{} has no multiplicative inverse '
            'modulo {}'.format(n, p))
    else:
        return x % p

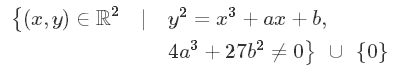
Fp上的椭圆曲线

现在,我们可以在Fp上来定义椭圆曲线,上篇文章中,椭圆曲线如下描述:

这里写图片描述
而现在变成了下面的描述:
这里写图片描述

当然,0依旧表示无限远的点,也即单位元;参数a、b在Fp上
这里写图片描述

上面四张图,分别是 曲线方程 Y2≡x3−7x+10(modp) 参数p取为19,97,127,487的几何图形。(显然,p越小,集合Fp中的元素越少,满足Fp的椭圆曲线的点也越少)
当然,我们也可以证明,在Fp上的椭圆曲线的点,构成阿贝尔群(交换群)。

点加

在实数域,我们定义了三个“aligned”的点相加结果为0,P + Q+ R = 0,当然,该定义在Fp上也适用。实数域上“aligned”就是共线,但是Fp上,我们需要重新定义“aligned”。

Fp上,如果(x, y)满足方程(ax + by+ c ) mod p = 0,则这些(x, y)是共线的.

这里写图片描述

上图中,是椭圆曲线方程y^2 = X^3 - x + 3 mod 127 的所有点。
点P(16,20), Q(41, 120),则方程y = 4x + 83(mod 127) 和 椭圆曲线方程相交于点P。

当然,点的加法依旧保持了原有的性质:
(1):Q + 0 = 0 + Q = Q
(2):Q及其逆元-Q,实数域上他两关于X轴对称,但是在Fp上,-Q = (Xq, -Yq mod p)
(3):p + (-P) = 0

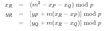
代数方法计算加法
计算点的等式和上篇文章中基本差不多,唯一的区别就是在等式中加上mod p.
这里写图片描述
其中,如果P不等于Q,则
这里写图片描述
如果P等于Q则
这里写图片描述

和在实数域的椭圆曲线点加法差不多吧,这可不是巧合。这个等式可以用于任何的域,除了F2、F3不适用。

几何方法计算加法

我们不会定义几何方法,实际上,这样的话我们会碰到一些问题。比如,上篇文章中,我们说了要计算p + p,我们需要获得点p和椭圆曲线的切线,但是由于点非连续,切线就没有意义了。

椭圆曲线的阶
我们说过,椭圆曲线定义在有限域上,这也意味着,椭圆曲线上的点也是有限的。所以我们引出了一个问题:一个椭圆曲线到底有多少个点。

首先我们定义“椭圆曲线上点的个数”为 椭圆曲线的 阶 (order)。

当然,把x暴力的从0遍历到 p-1 肯定不是一个好方法,意味它需要p个步骤,如果p很大,那就非常慢。

幸运的是,有一个快速的方法计算椭圆曲线的阶。
https://en.wikipedia.org/wiki/Schoof%27s_algorithm

数乘和循环子群

在实数域中,乘法可以被定义成这样:
这里写图片描述

我们可以使用 dobule and add 算法来计算乘法,算法复杂度是O(logn)。
但是椭圆曲线上的乘法有一个非常有趣的性质。
假设 Y^2 = X^3 + 2x + 3 mod 97 和 其上的点P (3, 6),我们来计算一下nP:
这里写图片描述

nP的取值只有5个不一样的点(0, P, 2P, 3P, 4P),然后他们周期循环。明显的,椭圆曲线上的数乘和模运算类似:

0P = 0
1P = (3,6)
2P = (80, 10)
3P = (80, 87)
4P = (3, 91)
5P = 0
6P = (3, 6)
7P = (80, 10)
8P = (80, 87)
9P = (3, 91)

我们需要指出两件事,点P的倍数的结果只有出现5个点,其他的点从未出现;其次他们是周期出现的,所以我们可以这样描述:

对于任意的K,如下等式成立
5kP = 0
(5k + 1)P = P
(5k + 2)P = 2P
(5k + 3)P = 3P
(5k + 4)P = 4P

当然,上面的多个等式可以写成一个等式
kP = (K mod 5) P

显然,上面的5个点的集合,运算是封闭的。
当然,不仅仅P有这样的性质,其他点也有类似的性质。
即,P的加法构成了一个群S,由于S属于G,故S是G的子群。
循环子群是ECC的基础。

子群的阶

我们可以问自己,由P生成的子群的阶是什么?

1:首先,我们已经定义了阶就是群中点的个数。在子群中也是这样的,但是我们可以换一种表达方式:子群的阶是最小能够使得nP=0的n。就像上文中给出的例子,n是5。
2:子群的阶和群的阶是有关系的。拉格朗日定理说明了,子群的阶是群的阶的因子。即如果N是群的阶,则其子群的阶n,则n|N。

上述向我们给出了一个找到子群的阶的方法
(1)计算群的阶N
(2)找出所有N的因子
(3)每个N的因子n,然后乘以P
(4)在3中,找出最小的n,使得满足nP = 0。则这个n是子群的阶。

例如,假设在F37上定义椭圆曲线 y^2 = X^3 - x + 3,显然群的阶可以轻松算出为N = 42,子群的阶是n 可能是 1,2,3,6,7,14,21,42。
设曲线上的点P(2, 3),由于P 不等于0、2P不等于0…7P等于0,故P的阶是7。即由P生成的子群的阶是7。

注意,“最小的n”是非常重要的。如果随机的遍历0 ~ 42,则很有可能遍历到14,14P也是0,但是14不是P的阶。

另外一个例子,在F29上定义一个椭圆曲线:y^2 = x^3 - x + 1 ,则椭圆曲线的阶为N=37,由于37是素数,所以其因子只有1和37。如果子群的阶为1,则显然,该子群包含一个点,该点就是0.如果子群的阶是37,则该子群就是parent群。

找一个基点

在ECC算法种,我们希望找到一个阶数较大的子群。
通常我们会选择一个椭圆曲线,然后计算它的阶N,选择一个较大的因子n,然后找一个合适的基点。也就是说,我们不是首先找一个基点,然后计算它的阶,而是相反,我们先找到一个合适的阶,然后找以这个数为阶的子群的生成元。
怎么找呢?
首先,拉格朗日揭示,h = N/n是一个整数(当然,n是N的因子),h有一个自己的名字:cofactor of the subgroup。

首先,每个椭圆曲线上的点P,NP = 0,因为N是P的阶n的倍数。
我们可以写成这样 n(hP) = 0。
假设n是一个素数(下篇文章会讲到为什么),我们令G= hP,则G就是子群的生成元。

我们总结一下:
1:计算椭圆曲线的阶N。
2:选择一个数n当成子群的阶。n应该是N的素因数
3:计算h = N/n
4:随机选择一个点P
5:计算G = hP
6:如果G是0,到第4步。否则,我们找到了这个基点。

n必须是素数,若非如此,则nP = 0不一定表示n是P的阶,因为P的阶可能是n的一个因子。

离散对数

接下来我们需要考虑一个问题
如果我们知道了P和Q,Q是P的倍数,我们计算这个倍数k?

这个问题就是基于椭圆曲线的离散对数问题,他被认为是很难解的问题。
目前为止没有找到在多项式时间(Polynomial time)内能够解决这个的方法,同样的,这个难题也没有数学上的严格证明。

这个难题也和其他密码学中的离散对数问题类似,例如DSA算法,DH密钥交换算法,ElGamal 算法,他们名字基本类似不是没有原因的,因为都是基于离散对数问题。只是上述例子中,使用了模幂运算,而不是我们椭圆曲线的数乘运算。
模幂运算的离散对数问题可以这么描述:
我们知道a 和 b是有这么一个等式关系 b = a^k mod p,给你一个a,b,p,让你求k。当然不管是模幂运算的DH还是椭圆曲线数乘的DH,他们的值都是离散的。因为值都取自于有限集合(子群),称之为对数,因为你要计算这个难题,需要对数运算。

ECC有趣的地方就是,它的离散对数问题,看起来比其他的离散对数问题难多了,这也意味着,在椭圆曲线算法中,我们可以使用更小的值k,来达到其他离散对数难题中同样的安全效果。

posted on 2022-02-23 12:55  Netsharp  阅读(818)  评论(0)    收藏  举报

导航