AcWing 4957. 飞机降落 -- dfs
题目
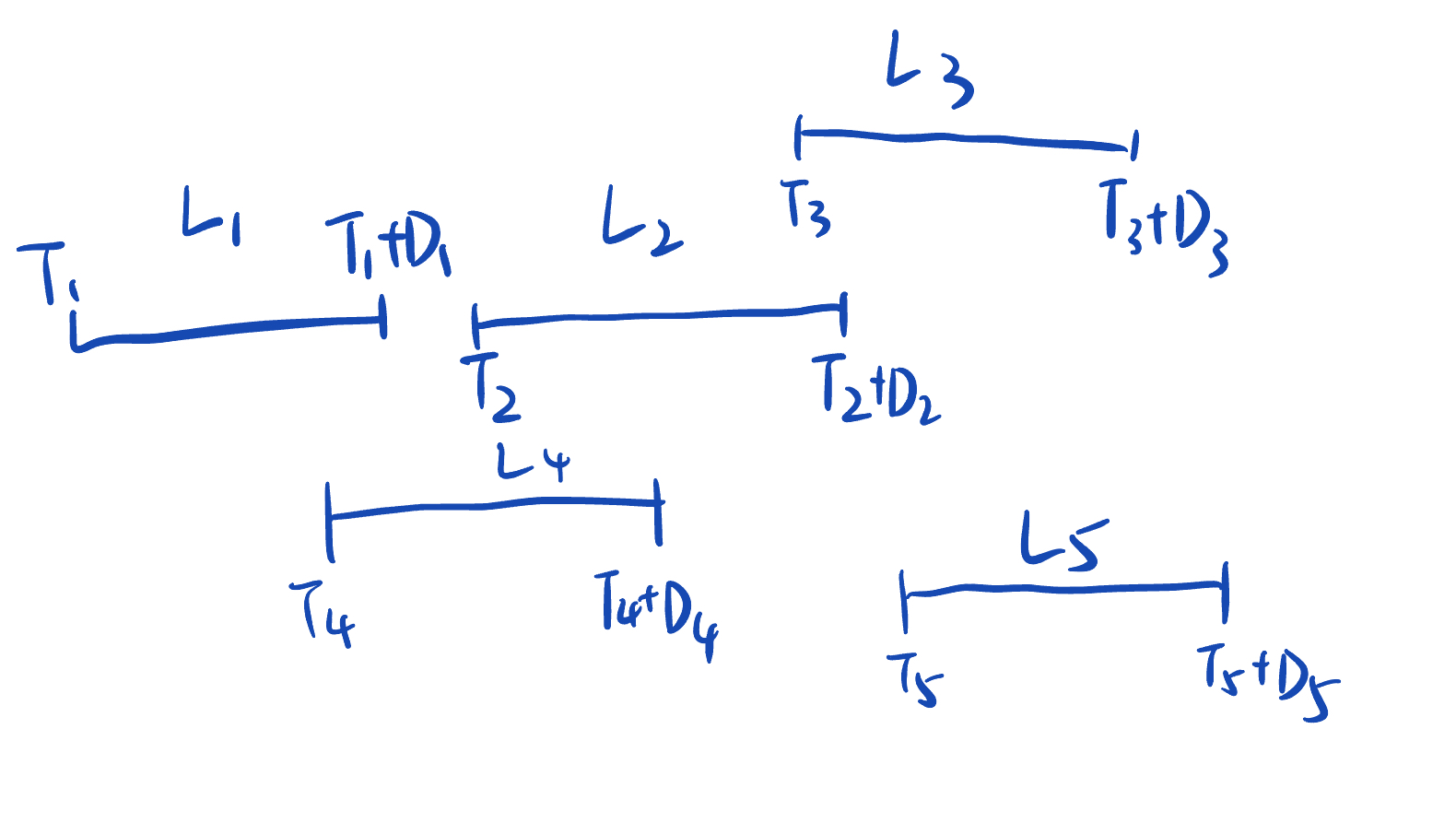
有 \(N\) 架飞机准备降落到某个只有一条跑道的机场。
其中第 \(i\) 架飞机在 \(T_i\) 时刻到达机场上空,到达时它的剩余油料还可以继续盘旋 \(D_i\) 个单位时间,即它最早可以于 \(T_i\) 时刻开始降落,最晚可以于 \(T_i + D_i\) 时刻开始降落。
降落过程需要 \(L_i\) 个单位时间。
一架飞机降落完毕时,另一架飞机可以立即在同一时刻开始降落,但是不能在前一架飞机完成降落前开始降落。
请你判断 \(N\) 架飞机是否可以全部安全降落。
输入格式
输入包含多组数据。
第一行包含一个整数 \(T\),代表测试数据的组数。
对于每组数据,第一行包含一个整数 \(N\)。
以下 \(N\) 行,每行包含三个整数:\(T_i\),\(D_i\) 和 \(L_i\)。
输出格式
对于每组数据,输出 YES 或者 NO,代表是否可以全部安全降落。
数据范围
对于 \(30\%\) 的数据,\(N ≤ 2\)。
对于 \(100\%\) 的数据,\(1 ≤ T ≤ 10\),\(1 ≤ N ≤ 10\),\(0 ≤ T_i, D_i, L_i ≤ 10^5\)。
输入样例:
2
3
0 100 10
10 10 10
0 2 20
3
0 10 20
10 10 20
20 10 20
输出样例:
YES
NO
样例解释
对于第一组数据,可以安排第 \(3\) 架飞机于 \(0\) 时刻开始降落,\(20\) 时刻完成降落。安排第 \(2\) 架飞机于 \(20\) 时刻开始降落,\(30\) 时刻完成降落。安排第 \(1\) 架飞机于 \(30\) 时刻开始降落,\(40\) 时刻完成降落。
对于第二组数据,无论如何安排,都会有飞机不能及时降落。
题解
这道题数据范围非常小 \(1≤N≤10\) 所以我们采用dfs暴搜的方法 核心代码与基础课里dfs排列数字类似

本质就是我们将这些无序的区间(表示飞机的到达时间T、最晚开始降落时间T+D、降落时间L) 像排列数字一样排列出不同的方案 选出其中能使所有区间均不重叠的方案,就能使全部飞机成功降落
#include <iostream>
#include <algorithm>
#include <cstring>
using namespace std;
const int N = 15;
int n;
bool st[N]; //判断该飞机有没有降落
struct Plane //用结构体定义一架飞机的三个属性
{
int t, d, l;
}p[N];
bool dfs(int u, int last) //u表示已经降落的飞机数量,last表示上一架飞机降落完成的时间
{
if (u == n) return true; //u的范围是0~n-1 当u=n时,表示所有飞机已经降落
for (int i = 0; i < n; i ++ )
{
int t = p[i].t, d = p[i].d, l = p[i].l;
if (!st[i] && t + d >= last) //如果该飞机没有降落 并且 该飞机最晚降落时间 >= 上一家飞机降落时间
{
st[i] = true;
if(dfs(u + 1, max(t, last) + l)) return true; //该飞机降落后向下搜索下一架飞机是否能降落 max(t, last)是取 上一架飞机降落时间 和 该飞机到达机场时间 取最大值,
// 目的是看该飞机最终是啥时候开始降落的(不能在上一架飞机降落时就降落也不能在还没到机场时就降落)再加上本次飞机降落时间l,就是本次飞机降落完成时间
//如果递归到dfs(n - 1, last)也能进入if(!st[i] && t + d >= last)(也就是最后一架飞机也可以正常降落) 那么if内我们就会递归到下一层dfs(n, last)最终u==n返回true
//返回到if(dfs(u + 1, max(t, last) + l))成立,继续return true,不断返回,最终返回到dfs(0, 0) 最终函数就会return true
st[i] = false; //进行到这里表示上一句话没有return true 也就是下一架飞机不能降落 那么恢复现场,保证这架飞机可以在下一次for循环被继续利用
}
}
return false; //如果循环内没有搜索到可以将全部飞机成功降落的顺序,就返回false
}
int main()
{
int T;
scanf("%d", &T);
while (T -- )
{
scanf("%d", &n);
for (int i = 0; i < n; i ++ )
{
int t, d, l;
scanf("%d%d%d", &t, &d, &l);
p[i] = {t, d, l};
}
memset(st, 0, sizeof st); //每次排列飞机降落顺序前都要把标记数组清空,防止被上一组数据影响(每次会测试很多组数据T)
if (dfs(0, 0)) puts("YES"); //从已经降落的飞机数量为0 降落时间为0的点开始搜索
else puts("NO");
}
return 0;
}

浙公网安备 33010602011771号