opencv学习(四):简单的图像变换(高斯滤波)
(一):高斯滤波:

#include <opencv2/opencv.hpp>
using namespace std;
void Smooth(const cv::Mat & image)
{
cv::namedWindow("input", cv::WINDOW_AUTOSIZE);
cv::namedWindow("output", cv::WINDOW_AUTOSIZE);
cv::imshow("input", image);
cv::Mat out;
cv::GaussianBlur(image, out, cv::Size(5, 5), 3, 3);
cv::GaussianBlur(out, out, cv::Size(5, 5), 3, 3);
cv::imshow("output", out);
cv::waitKey(0);
}
int main()
{
cv::Mat srcImage = cv::imread("001.jpg");
Smooth(srcImage);
}
cv::GaussianBlur模块(高斯卷积核滤波):


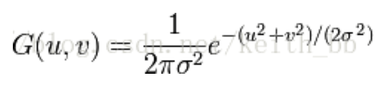
高斯滤波数学计算有待补充,画个饼。


浙公网安备 33010602011771号