luogu P3195 玩具装箱 斜率优化题解
【题意简述】
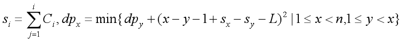
现有n个物品,第i个物品的长度为Ci。可以制造若干个容器,容器的数量和长度不限制,但是只能把连续若干个物品放入容器中。把物品区间[i,j]放入同一个容器中,长度为

,每一个容器的制造代价为
,L为给定常数。求最小代价之和。
【数据范围】对于100%的数据,
。
如果只要部分分,那么容易设计较慢的的算法。状态转移方程如下:

这是O(n3)的。还有很多优化空间。做前缀和,可以进一步优化到O(n2)。实测30pts。
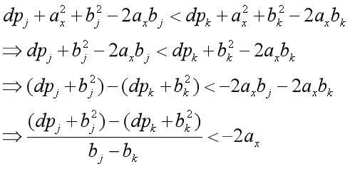
如果还要进一步优化,需要整理式子(为了叙述方便,x和y的范围略去不写):

若j>k,且对于x说,从j比从k转移来的优,则有不等式:
将b所表示的值代入分母,得:
就得到斜率的式子了。以这样的规则在单调队列中弹队首、队尾即可。
再借助图片理解:无论凸壳里面有多少个点,那条红色的直线都只会先碰到凸壳上的点,即只会在凸壳上的某一个点转移(如下图A点)。

之后,两条黄色的、被叉掉的线段被包括在凸壳里面了,可以排除,被红色线代替了。

之后就是代码了。
#include<cstdio> #include<iostream> #define int long long using namespace std; int dp[50010]; int n,L,c[50010],s[50010],a[50010]; int front=1,rear=1,q[50010]; inline double slope(int j,int k){ int x1=a[j],y1=dp[j]+(a[j]+1+L)*(a[j]+1+L); int x2=a[k],y2=dp[k]+(a[k]+1+L)*(a[k]+1+L); return double(y1-y2)/double(x1-x2); } inline int f(int x,int y){ return dp[y]+(a[x]-a[y]-1-L)*(a[x]-a[y]-1-L); } signed main(){ ios::sync_with_stdio(false); cin>>n>>L; for(int i=1;i<=n;i++){ cin>>c[i]; s[i]=s[i-1]+c[i]; a[i]=s[i]+i; } for(int i=1;i<=n;i++){ while(front<rear&&slope(q[front],q[front+1])<=2*a[i])front++; dp[i]=f(i,q[front]); while(front<rear&&slope(q[rear],q[rear-1])>slope(i,q[rear]))rear--; q[++rear]=i; } cout<<dp[n]<<endl; return 0; }
(完)

浙公网安备 33010602011771号