Classification
线性受限于极端样本点,会导致分类不准确
Bayesian Classifiers
原理:


把计算拆解成两部分

找高斯函数(对连续变量,离散变量可以直接用比例求)
换一个角度理解:把已知的样本当作从一个gaussian distribution里sample出来的
所以我们从已知中反推gaussian distribution的参数(maximum likelihood)
求导找极值点或套公式

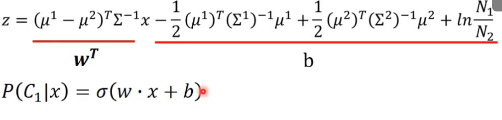
共用西格玛(降低模型variance)然后线性分类的效果好?
Sigmoid function(binary)

根据数学推导,可以得到线性关系(也解释了共用西格玛时得到线性分类)

Logistic regression
Cross entropy是在对已知求概率最大似然时转化为求-ln拆开得到的各项通式(如下)

comparsion

用square会使gradient descent在远处就为0,卡住(如下)


前者是直接wb为参数 后者用u1u2和西格玛为参数(假设了概率模型)
后者会脑补(幻想data),对data少的有效
Multi-class
见softmax
Limitation
无法分解非线性分类的

用nueral当作做feature transfermation,增加层数得到可线性分类的,用softmax解决

浙公网安备 33010602011771号