4.2日总结
白盒测试实验三:
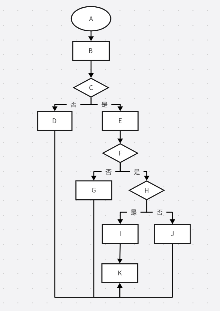
(1)逻辑覆盖法绘制出流程图

A([开始]) --> B[投币]
B --> C{投币≥5角?}
C -- 否 --> D[提示"投币不足"]
C -- 是 --> E[选择饮料]
E --> F{选择有效?}
F -- 否 --> G[提示"请选择饮料"]
F -- 是 --> H{投币=5角?}
H -- 是 --> I[出货饮料]
H -- 否 --> J[出货饮料并找零]
I --> K([结束])
J --> K
D --> K
(2)设计测试用例表
|
测试编号 |
投币金额 |
选择饮料 |
预期输出 |
覆盖路径 |
测试类型 |
|
TC001 |
5角 |
啤酒 |
出货啤酒,无找零 |
B-C-E-F-H-I-K |
正常路径 |
|
TC002 |
5角 |
橙汁 |
出货橙汁,无找零 |
B-C-E-F-H-I-K |
正常路径 |
|
TC003 |
10角 (1元) |
啤酒 |
出货啤酒,找零5角 |
B-C-E-F-H-J-K |
正常路径(找零) |
|
TC004 |
10角 (1元) |
橙汁 |
出货橙汁,找零5角 |
B-C-E-F-H-J-K |
正常路径(找零) |
|
TC005 |
3角 |
啤酒 |
提示“投币不足,请至少投入5角” |
B-C-D-K |
边界值(金额不足) |
|
TC006 |
7角 |
橙汁 |
出货橙汁,找零2角 |
B-C-E-F-H-J-K |
边界值(超额投币) |
|
TC007 |
0角 |
啤酒 |
提示“投币不足” |
B-C-D-K |
异常输入 |
|
TC008 |
5角 |
未选择 |
提示“请选择饮料” |
B-C-E-F-G-K |
异常输入 |
|
TC009 |
10角 (1元) |
未选择 |
提示“请选择饮料” |
B-C-E-F-G-K |
异常输入 |
|
TC010 |
15角 (1.5元) |
啤酒 |
出货啤酒,找零10角 |
B-C-E-F-H-J-K |
扩展测试 |

浙公网安备 33010602011771号