决策树底层算法原理--简单分析
1.决策树是什么?
决策树(decision tree)是一种基本的分类与回归方法。举个通俗易懂的例子,如下图所示的流程图就是一个决策树,长方形代表判断模块(decision block),椭圆形成代表终止模块(terminating block),表示已经得出结论,可以终止运行。从判断模块引出的左右箭头称作为分支(branch),它可以达到另一个判断模块或者终止模块。我们还可以这样理解,分类决策树模型是一种描述对实例进行分类的树形结构,当然其也可以用于回归任务。

我们回到这个流程图,对,你没看错,这就是一个假想的相亲对象分类系统。它首先检测相亲对方是否有房。如果有房,则对于这个相亲对象可以考虑进一步接触。如果没有房,则观察相亲对象是否有上进心,如果没有,直接Say Goodbye,此时可以说:"你人很好,但是我们不合适。"如果有,则可以把这个相亲对象列入候选名单,好听点叫候选名单,有点瑕疵地讲,那就是备胎。
不过这只是个简单的相亲对象分类系统,只是做了简单的分类。真实情况可能要复杂得多,考虑因素也可以是五花八门。脾气好吗?会做饭吗?愿意做家务吗?家里几个孩子?父母是干什么的?天啊,我不想再说下去了,想想都可怕。
我们可以把决策树看成一个if-then规则的集合(决策树主要是采用2分法),决策树转换成if-then规则的过程是这样的:由决策树的根结点(root node)到叶结点(leaf node)的每一条路径构建一条规则;路径上内部结点的特征对应着规则的条件,而叶结点的类对应着规则的结论。决策树的路径或其对应的if-then规则集合具有一个重要的性质:互斥并且完备。这就是说,每一个实例都被一条路径或一条规则所覆盖,而且只被一条路径或一条规则所覆盖。这里所覆盖是指实例的特征与路径上的特征一致或实例满足规则的条件。
2.决策树的前期工作
2.1 特征选择:
特征选择在于选取对训练数据具有分类能力的特征。这样可以提高决策树学习的效率,如果利用一个特征进行分类的结果与随机分类的结果没有很大差别,则称这个特征是没有分类能力的。经验上扔掉这样的特征对决策树学习的精度影响不大。通常特征选择的标准是信息增益(information gain),本文章使用信息增益作为选择特征的标准。那么,什么是信息增益?在讲解信息增益之前,让我们看一组实例,贷款申请样本数据表。
ID 年龄 有工作 有自己的房子 信贷情况 类别(是否个给贷款)
1 青年 否 否 一般 否
2 青年 否 否 好 否
3 青年 是 否 好 是
4 青年 是 是 一般 是
5 青年 否 否 一般 否
6 中年 否 否 一般 否
7 中年 否 否 好 否
8 中年 是 是 好 是
9 中年 否 是 非常好 是
10 中年 否 是 非常好 是
11 老年 否 是 非常好 是
12 老年 否 是 好 是
13 老年 是 否 好 是
14 老年 是 否 非常好 是
15 老年 否 否 一般 否
特征选择就是决定用哪个特征来划分特征空间。比如,我们通过上述数据表得到两个可能的决策树,分别由两个不同特征的根结点构成。

图(a)所示的根结点的特征是年龄,有3个取值,对应于不同的取值有不同的子结点。图(b)所示的根节点的特征是工作,有2个取值,对应于不同的取值有不同的子结点。两个决策树都可以从此延续下去。问题是:究竟选择哪个特征更好些?这就要求确定选择特征的准则。直观上,如果一个特征具有更好的分类能力,或者说,按照这一特征将训练数据集分割成子集,使得各个子集在当前条件下有最好的分类,那么就更应该选择这个特征。信息增益就能够很好地表示这一直观的准则。
2.2 信息经验熵
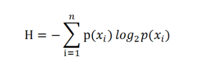
集合信息的度量方式成为香农熵或者简称为熵(entropy),定义为信息的期望值,在信息论与概率统计中,熵是表示随机变量不确定性的度量。如果待分类的事务可能划分在多个分类之中,则符号xi的信息定义为, 其中p(xi)是选择该分类的概率。

通过上式,我们可以得到所有类别的信息。为了计算熵,我们需要计算所有类别所有可能值包含的信息期望值(数学期望),通过下面的公式得到:期中n是分类的数目。熵越大,随机变量的不确定性就越大。

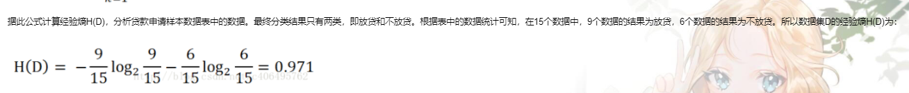
当熵中的概率由数据估计(特别是最大似然估计)得到时,所对应的熵称为经验熵(empirical entropy)。什么叫由数据估计?比如有10个数据,一共有两个类别,A类和B类。其中有7个数据属于A类,则该A类的概率即为十分之七。其中有3个数据属于B类,则该B类的概率即为十分之三。浅显的解释就是,这概率是我们根据数据数出来的。我们定义贷款申请样本数据表中的数据为训练数据集D,则训练数据集D的经验熵为H(D),|D|表示其样本容量,及样本个数。设有K个类Ck,k = 1,2,3,···,K,|Ck|为属于类Ck的样本个数,这经验熵公式可以写为:
据此公式计算经验熵H(D),分析贷款申请样本数据表中的数据。最终分类结果只有两类,即放贷和不放贷。根据表中的数据统计可知,在15个数据中,9个数据的结果为放贷,6个数据的结果为不放贷。所以数据集D的经验熵H(D)为:

2.3 代码表示
在编写代码之前,我们先对数据集进行属性标注。
年龄:0代表青年,1代表中年,2代表老年;
有工作:0代表否,1代表是;
有自己的房子:0代表否,1代表是;
信贷情况:0代表一般,1代表好,2代表非常好;
类别(是否给贷款):no代表否,yes代表是。
确定这些之后,我们就可以创建数据集,并计算经验熵了,代码编写如下:
1 import pandas as pd 2 import numpy as np 3 from math import log 4 dataSet = [[0, 0, 0, 0, 'no'], 5 [0, 0, 0, 1, 'no'], 6 [0, 1, 0, 1, 'yes'], 7 [0, 1, 1, 0, 'yes'], 8 [0, 0, 0, 0, 'no'], 9 [1, 0, 0, 0, 'no'], 10 [1, 0, 0, 1, 'no'], 11 [1, 1, 1, 1, 'yes'], 12 [1, 0, 1, 2, 'yes'], 13 [1, 0, 1, 2, 'yes'], 14 [2, 0, 1, 2, 'yes'], 15 [2, 0, 1, 1, 'yes'], 16 [2, 1, 0, 1, 'yes'], 17 [2, 1, 0, 2, 'yes'], 18 [2, 0, 0, 0, 'no']] 19 def calcShannonEnt(dataSet): 20 numEntires = len(dataSet) #返回数据集的行数 21 labelCounts = {} #保存每个标签(Label)出现次数的字典 22 for featVec in dataSet: #对每组特征向量进行统计 23 currentLabel = featVec[-1] #提取标签(Label)信息 24 if currentLabel not in labelCounts.keys(): #如果标签(Label)没有放入统计次数的字典,添加进去 25 labelCounts[currentLabel] = 0 26 labelCounts[currentLabel] += 1 #Label计数 27 shannonEnt = 0.0 #经验熵(香农熵) 28 for key in labelCounts: #计算香农熵 29 prob = float(labelCounts[key]) / numEntires #选择该标签(Label)的概率 30 shannonEnt -= prob * log(prob, 2) #利用公式计算 31 return shannonEnt

总的来说,我们需要分类标签label的那一列,然后求出label标签列有多少种类,然后求出各种类的比值 k:种类i出现的次数/len(行数) 则等式= -(k*log2k) ,然后对每个种类累加。

简单一点的:
dataSet = [[0, 0, 0, 0, 'no'], [0, 0, 0, 1, 'no'], [0, 1, 0, 1, 'yes'], [0, 1, 1, 0, 'yes'], [0, 0, 0, 0, 'no'], [1, 0, 0, 0, 'no'], [1, 0, 0, 1, 'no'], [1, 1, 1, 1, 'yes'], [1, 0, 1, 2, 'yes'], [1, 0, 1, 2, 'yes'], [2, 0, 1, 2, 'yes'], [2, 0, 1, 1, 'yes'], [2, 1, 0, 1, 'yes'], [2, 1, 0, 2, 'yes'], [2, 0, 0, 0, 'no']] df=pd.DataFrame(dataSet) def culate(data): rows=len(df) labelcounts=dict(df.iloc[:,-1].value_counts()) shannonEnt=0 for i in labelcounts: prob=float(labelcounts[i] /rows) shannonEnt = shannonEnt-(prob * log(prob, 2)) return shannonEnt
(小贴士:里面的一些技巧)
len(df) 返回df有多少行 df.value_counts() 返回某列的值的出现次数 for i in dict: print(i) 返回字典的key print(dict[i]) 返回字典的value
3.1 信息条件熵:
在上面,我们已经说过,如何选择特征,需要看信息增益。也就是说,信息增益是相对于特征而言的,信息增益越大,特征对最终的分类结果影响也就越大,我们就应该选择对最终分类结果影响最大的那个特征作为我们的分类特征。
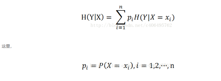
在讲解信息增益定义之前,我们还需要明确一个概念,条件熵。
条件熵H(Y|X)表示在已知随机变量X的条件下随机变量Y的不确定性,随机变量X给定的条件下随机变量Y的条件熵(conditional entropy) H(Y|X),定义X给定条件下Y的条件概率分布的熵对X的数学期望:已知X。
同理,当条件熵中的概率由数据估计(特别是极大似然估计)得到时,所对应的条件熵成为条件经验熵(empirical conditional entropy)。
4.1 信息增益
明确了条件熵和经验条件熵的概念。接下来,让我们说说信息增益。前面也提到了,信息增益是相对于特征而言的。所以,特征A对训练数据集D的信息增益g(D,A),定义为集合D的经验熵H(D)与特征A给定条件下D的经验条件熵H(D|A)之差,即
一般地,熵H(D)与条件熵H(D|A)之差成为互信息(mutual information)。决策树学习中的信息增益等价于训练数据集中类与特征的互信息。
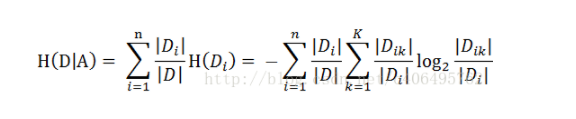
设特征A有n个不同的取值{a1,a2,···,an},根据特征A的取值将D划分为n个子集D1,D2,···,Dn,|Di|为Di的样本个数。记子集Di中属于Ck的样本的集合为Dik,即Dik = Di ∩ Ck,|Dik|为Dik的样本个数。于是经验条件熵的公式可以些为:
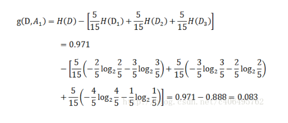
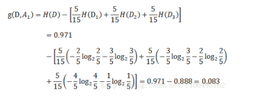
以贷款申请样本数据表为例进行说明。看下年龄这一列的数据,也就是特征A1,一共有三个类别,分别是:青年、中年和老年。我们只看年龄是青年的数据,年龄是青年的数据一共有5个,所以年龄是青年的数据在训练数据集出现的概率是十五分之五,也就是三分之一。同理,年龄是中年和老年的数据在训练数据集出现的概率也都是三分之一。现在我们只看年龄是青年的数据的最终得到贷款的概率为五分之二,因为在五个数据中,只有两个数据显示拿到了最终的贷款,同理,年龄是中年和老年的数据最终得到贷款的概率分别为五分之三、五分之四。所以计算年龄的信息增益,过程如下(拿到某列各个特征里面元素出现的比例,然后拿到该元素对于label的比例):



4.2 代码表示
import pandas as pd import numpy as np from math import log dataSet = [[0, 0, 0, 0, 'no'], [0, 0, 0, 1, 'no'], [0, 1, 0, 1, 'yes'], [0, 1, 1, 0, 'yes'], [0, 0, 0, 0, 'no'], [1, 0, 0, 0, 'no'], [1, 0, 0, 1, 'no'], [1, 1, 1, 1, 'yes'], [1, 0, 1, 2, 'yes'], [1, 0, 1, 2, 'yes'], [2, 0, 1, 2, 'yes'], [2, 0, 1, 1, 'yes'], [2, 1, 0, 1, 'yes'], [2, 1, 0, 2, 'yes'], [2, 0, 0, 0, 'no']] def calcShannonEnt(dataSet): numEntires = len(dataSet) #返回数据集的行数 labelCounts = {} #保存每个标签(Label)出现次数的字典 for featVec in dataSet: #对每组特征向量进行统计 currentLabel = featVec[-1] #提取标签(Label)信息 if currentLabel not in labelCounts.keys(): #如果标签(Label)没有放入统计次数的字典,添加进去 labelCounts[currentLabel] = 0 labelCounts[currentLabel] += 1 #Label计数 shannonEnt = 0.0 #经验熵(香农熵) for key in labelCounts: #计算香农熵 prob = float(labelCounts[key]) / numEntires #选择该标签(Label)的概率 shannonEnt -= prob * log(prob, 2) #利用公式计算 return shannonEnt #返回经验熵(香农熵) def splitDataSet(dataSet, axis, value): retDataSet = [] #创建返回的数据集列表 for featVec in dataSet: #遍历数据集 if featVec[axis] == value: reducedFeatVec = featVec[:axis] #去掉axis特征 reducedFeatVec.extend(featVec[axis+1:]) #将符合条件的添加到返回的数据集 retDataSet.append(reducedFeatVec) return retDataSet #返回划分后的数据集 def chooseBestFeatureToSplit(dataSet): numFeatures = len(dataSet[0]) - 1 #特征数量 baseEntropy = calcShannonEnt(dataSet) #计算数据集的香农熵 bestInfoGain = 0.0 #信息增益 bestFeature = -1 #最优特征的索引值 for i in range(numFeatures): #遍历所有特征 #获取dataSet的第i个所有特征 featList = [example[i] for example in dataSet] uniqueVals = set(featList) #创建set集合{},元素不可重复 newEntropy = 0.0 #经验条件熵 for value in uniqueVals: #计算信息增益 subDataSet = splitDataSet(dataSet, i, value) #subDataSet划分后的子集 prob = len(subDataSet) / float(len(dataSet)) #计算子集的概率 newEntropy += prob * calcShannonEnt(subDataSet) #根据公式计算经验条件熵 infoGain = baseEntropy - newEntropy #信息增益 print("第%d个特征的增益为%.3f" % (i, infoGain)) #打印每个特征的信息增益 if (infoGain > bestInfoGain): #计算信息增益 bestInfoGain = infoGain #更新信息增益,找到最大的信息增益 bestFeature = i #记录信息增益最大的特征的索引值 return bestFeature #返回信息增益最大的特征的索引值 chooseBestFeatureToSplit(dataSet)


总的来说,我们需要对每一列的特征进行求信息增益:需要循环 然后需要这一列中的总类,求出各个总类占row的比例,然后用这个数* 这个种类的label信息熵。
4.3 简单代码
import pandas as pd import numpy as np from math import log dataSet = [[0, 0, 0, 0, 'no'], [0, 0, 0, 1, 'no'], [0, 1, 0, 1, 'yes'], [0, 1, 1, 0, 'yes'], [0, 0, 0, 0, 'no'], [1, 0, 0, 0, 'no'], [1, 0, 0, 1, 'no'], [1, 1, 1, 1, 'yes'], [1, 0, 1, 2, 'yes'], [1, 0, 1, 2, 'yes'], [2, 0, 1, 2, 'yes'], [2, 0, 1, 1, 'yes'], [2, 1, 0, 1, 'yes'], [2, 1, 0, 2, 'yes'], [2, 0, 0, 0, 'no']] df=pd.DataFrame(dataSet,columns=['年龄', '有工作', '有自己的房子', '信贷情况','label'] ) def culate(df): rows=len(df) labelcounts=dict(df.iloc[:,-1].value_counts()) shannonEnt=0 for lk in labelcounts: prob=float(labelcounts[lk] /rows) shannonEnt = shannonEnt-(prob * log(prob, 2)) return shannonEnt def spli(df,axis): return df.iloc[:,[axis,-1]] import copy def choosebest(dataset): numfeatures=len(df.columns)-1 baseen=culate(df) bestinfogain=0 bestfeature=-1 for i in range(numfeatures): datapro=spli(df,df.columns[i]) cat=datapro.iloc[:,0].unique() new=0 for j in cat: setdataw=copy.deepcopy(datapro[datapro.iloc[:,0].isin([j])]) bili=len(setdataw)/len(dataset) PR=culate(setdataw) # rows=len(setdataw) # labelcounts=dict(setdataw.iloc[:,-1].value_counts()) # PR=0 # for lk in labelcounts: # prob=float(labelcounts[lk] /rows) # PR = PR-(prob * log(prob, 2)) new=new+bili*PR new=baseen-new print(i,new) if(new>bestinfogain): bestinfogain=new bestfeature=i print(bestfeature)

OJBK,写了1个小时,代码总算是写完了。
思路图如下:

4.4 杂言
我们已经学习了从数据集构造决策树算法所需要的子功能模块,包括经验熵的计算和最优特征的选择,其工作原理如下:得到原始数据集,然后基于最好的属性值划分数据集,由于特征值可能多于两个,因此可能存在大于两个分支的数据集划分。第一次划分之后,数据集被向下传递到树的分支的下一个结点。在这个结点上,我们可以再次划分数据。因此我们可以采用递归的原则处理数据集。
构建决策树的算法有很多,比如C4.5、ID3和CART,这些算法在运行时并不总是在每次划分数据分组时都会消耗特征。由于特征数目并不是每次划分数据分组时都减少,因此这些算法在实际使用时可能引起一定的问题。目前我们并不需要考虑这个问题,只需要在算法开始运行前计算列的数目,查看算法是否使用了所有属性即可。
决策树生成算法递归地产生决策树,直到不能继续下去未为止。这样产生的树往往对训练数据的分类很准确,但对未知的测试数据的分类却没有那么准确,即出现过拟合现象。过拟合的原因在于学习时过多地考虑如何提高对训练数据的正确分类,从而构建出过于复杂的决策树。解决这个问题的办法是考虑决策树的复杂度,对已生成的决策树进行简化。
5.1 构造决策树
def majorityCnt(classList): classCount = {} for vote in classList: #统计classList中每个元素出现的次数 if vote not in classCount.keys():classCount[vote] = 0 classCount[vote] += 1 sortedClassCount = sorted(classCount.items(), key = operator.itemgetter(1), reverse = True) #根据字典的值降序排序 return sortedClassCount[0][0] #返回classList中出现次数最多的元素
#def selemax(classlist):
# labelcounts=dict(classlist.iloc[:,-1].value_counts())
# return max(labelcounts)
def createTree(dataSet, labels, featLabels): classList = [example[-1] for example in dataSet] #取分类标签(是否放贷:yes or no) if classList.count(classList[0]) == len(classList): #如果类别完全相同则停止继续划分 return classList[0] if len(dataSet[0]) == 1: #遍历完所有特征时返回出现次数最多的类标签 return majorityCnt(classList)
bestFeat = chooseBestFeatureToSplit(dataSet) #选择最优特征,是否有房子 bestFeatLabel = labels[bestFeat] #最优特征的标签 featLabels.append(bestFeatLabel)
myTree = {bestFeatLabel:{}} #根据最优特征的标签生成树 del(labels[bestFeat]) #删除已经使用特征标签 featValues = [example[bestFeat] for example in dataSet] #得到训练集中所有最优特征的属性值 uniqueVals = set(featValues) #去掉重复的属性值 for value in uniqueVals: #遍历特征,创建决策树。 myTree[bestFeatLabel][value] = createTree(splitDataSet(dataSet, bestFeat, value), labels, featLabels) return myTree
差不多就这样了,简单了解一下原理就好了,平时也没人用这个算法,只能当入门感受一下机器学习的决策树原理。
2020-07-13

浙公网安备 33010602011771号