勤奋的杨老师(二)(最大流)
题目描述:
链接:https://ac.nowcoder.com/acm/problem/15828
来源:牛客网
众所周知,杨老师是一位十分勤奋的老师,他非常的热爱学习。
勤奋的他为自己罗列了一个学习清单,共有n个知识点,他可以有选择的进行学习。
每个知识点都会对应0个或1个或多个先修知识点(只有学会了先修知识点才能学习该知识点),同时每个知识点都有一个智慧值和一个智力消耗值。
杨老师希望在进行过激烈的学习之后,他的收获可以·量化为所有学过的题的智慧值的和与智力消耗值的和的差值。请问,这个值最大是多少?
输入描述:
第一行:一个整数n(n<=500)接下来n行,每行两个整数,代表第i个知识点的智慧值和智力消耗值接下来若干行,每行2个整数u, v,代表u是v的先修知识点。
输出描述:
一行,表示杨老师的收获的最大值
思路:看的题解,这道题一眼看过去都感觉要用树形dp了,但是这里面的图有闭合,不能用,
而最大流却能解决这种问题,设cnt为所有直接选取为赚的节点的和,v为该点获取智慧值-消耗智慧值,如果为负,则源点与其连边,流量为-v
如果为正,则该点与汇点连边,流量为v,如果a是b的前置点,这a与b连边,流量为inf,然后跑一遍最大流,
得到的就是所有直接选取为负的节点,它对以它为前驱(直接或者间接)的其余直接选取为正的点的影响,然后用tot减去该影响,就是能获取的
最大价值.
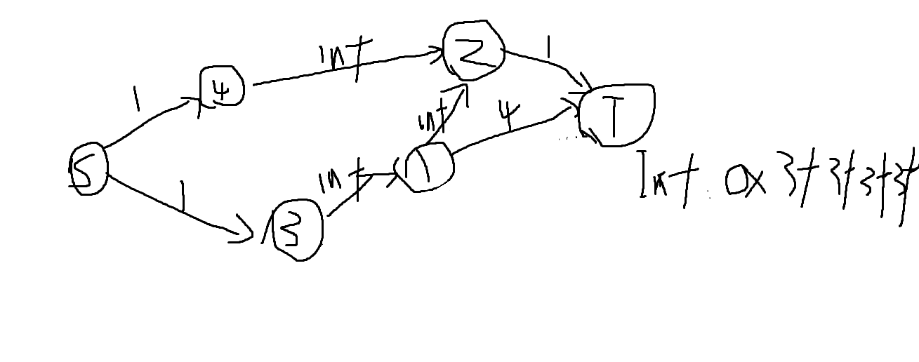
下面是以样例为例子花的图:
如图跑最大流得到的就是3,4号点对后面1,2号点的取值的影响,减去这部分影响,就是最大价值
AC代码:
#include<bits/stdc++.h> using namespace std; const int maxn = 505; const int maxm = 60005; const int inf = 0x3f3f3f3f;//之前搞成1e15,有精度损失.. double esp = 1e-6; struct edge { int t, nxt; int w; }e[maxm]; int hd[maxn], tot = 1; void add(int f, int t, int w) { e[++tot] = {t,hd[f],w}; hd[f] = tot; e[++tot] = {f,hd[t],0}; hd[t] = tot; } int n, s, t; int cur[maxn], dep[maxn]; bool bfs() { memset(dep, 0, sizeof(dep)); dep[s] = 1; queue<int>q; q.push(s); cur[s] = hd[s]; while (!q.empty()) { int u = q.front(); q.pop(); for (int i = hd[u]; i; i = e[i].nxt) { int v = e[i].t, w = e[i].w; if (w > 0 && !dep[v]) { dep[v] = dep[u] + 1; cur[v] = hd[v]; if (v == t)return true; q.push(v); } } } return false; } int dfs(int u, int flow) { if (u == t)return flow; int rest = flow; for (int i = cur[u]; i; i = e[i].nxt) { int v = e[i].t, w = e[i].w; if (dep[v] == dep[u] + 1 && w > 0) { int tmp = dfs(v, min(rest, w)); if (!tmp)dep[v] = 0; rest -= tmp; e[i].w -= tmp; e[i ^ 1].w += tmp; if (!rest)break; } } return flow - rest; } int dinic() { int ans = 0; while (bfs()) { ans += dfs(s, inf); } return ans; } int main() { //freopen("test.txt", "r", stdin); scanf("%d", &n); s = n+1, t = n + 2; int a, b,cnt=0; for (int i = 1; i <= n; i++) { scanf("%d%d", &a, &b); int v = a - b; if (v > 0) {//如果大于零直接与汇点相连 cnt += v; add(i, t, v); } else {//小于零,则与源点相连 add(s, i, -v); } } int u, v; while (~scanf("%d%d", &u, &v)) { add(u, v,inf); } cout <<cnt- dinic() << endl;//减去所有负起点能够流出的最大流 return 0; }


浙公网安备 33010602011771号