cosface: large margin cosine loss for deep face recognition
@article{wang2018cosface:,
title={CosFace: Large Margin Cosine Loss for Deep Face Recognition},
author={Wang, Hao and Wang, Yitong and Zhou, Zheng and Ji, Xing and Gong, Dihong and Zhou, Jingchao and Li, Zhifeng and Liu, Wei},
pages={5265--5274},
year={2018}}
概
本文从angular margin角度提出了对交叉熵损失的一个改进.
主要内容
一般的softmax交叉熵损失为
\[L_s = \frac{1}{N}\sum_{i=1}^N -\log \frac{e^{f_{y_i}}}{\sum_{j=1}^C e^{f_{y_j}}},
\]
其中
\[f_j = W^T_jx=\|W_j\| \|x\| \cos \theta_j,
\]
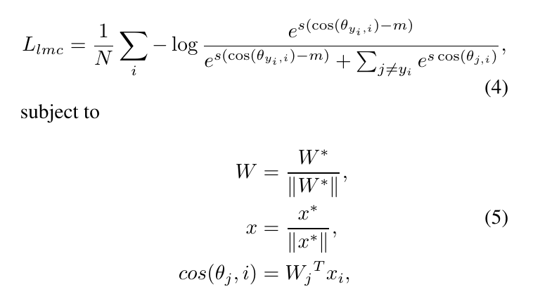
固定\(\|W_j\|=1, \|x\|=s\), 则
\[L_{ns} = \frac{1}{N} \sum_i -\log \frac{e^{s\cos(\theta_{y_i},i)}}{\sum_j e^{s \cos(\theta_{y_j}, i)}}
\]
只与角度angular margin有关, 所以实际上, 一个类别属于\(i\)就是当
\[\cos \theta_i > \cos \theta_j, \forall j\not = i,
\]
为了给其增加一些难度, 我们可以
\[\cos \theta_i - m > \cos \theta_j, \forall j\not = i,
\]
即我们在\(\cos \theta_i > \cos \theta_j\)的基础上, 进一步要求其angular margin进一步提高, 这就是large angular margin的思想.
于是本文的损失为:


浙公网安备 33010602011771号