DFA最小化,语法分析初步
1.将DFA最小化:教材P65 第9题
解:

状态转换图:

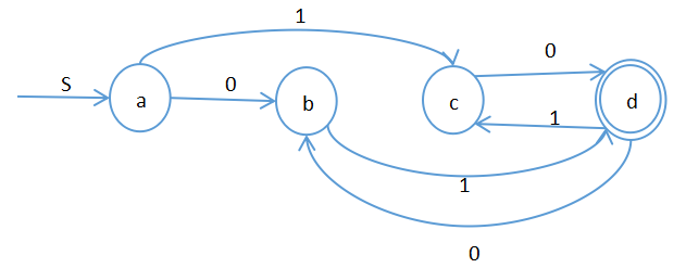
识别的语言: b*ac*(da)*bb*
2.构造以下文法相应的最小的DFA
S→ 0A|1B
A→ 1S|1
B→0S|0
解:
正规式:
S = 01S | 01 | 10S | 10 = ( 01 | 10 ) S | ( 01 | 10 )
S = ( 01 | 10 ) * ( 01 | 10 )
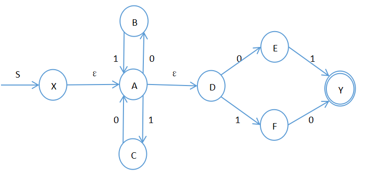
NFA状态转换图:
DFA状态转换矩阵:

DFA状态转换图:

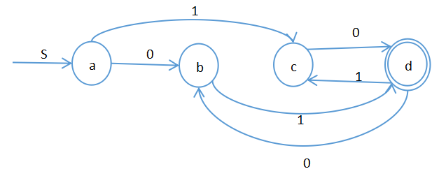
最小化DFA:

状态转换图:

3.自上而下语法分析,回溯产生的原因是什么?
解:
S => AB
S => aAB
S => aaAB
S => aaaAB
S => aaaɛb
S => aaab
回溯产生的原因:文法的产生式有公共左因子
4.P100 练习4,反复提取公共左因子。
解:
S->C$
C->bA | aB
A->aD | bAA
B->bD | aBB
D-> ɛ | C


浙公网安备 33010602011771号