- 目录
- 一、树的构造
- 二、树的搜索(二叉搜索树)
- 广度搜索
- 深度搜索
- 三、二叉树的遍历(二叉排序树)
- 前序遍历
- 中序遍历
- 后序遍历
- 层序遍历
- 四、二叉树的深度
- 最小深度
- 最大深度
------------------------------------------------------搜索-------------------------------------------------------
------------------------------------------------------递归-------------------------------------------------------
原创:https://www.cnblogs.com/bigsai/p/11393609.html
前序遍历
根结点 ---> 左子树 ---> 右子树

中序遍历
左子树---> 根结点 ---> 右子树
后序遍历
子树 ---> 右子树 ---> 根结点
层序遍历
按层遍历,左右节点应该均衡考虑
选用队列来实现

------------------------------------------------------非递归-------------------------------------------------------
------------------------------------------------------深度-------------------------------------------------------
原创:https://blog.csdn.net/melon0014/article/details/86579813
二叉树的最小深度
1. 二叉树的最小深度
#111. 二叉树的最小深度
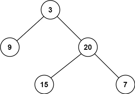
给定一个二叉树,找出其最小深度。 最小深度是从根节点到最近叶子节点的最短路径上的节点数量。 说明:叶子节点是指没有子节点的节点。 示例 1: 输入:root = [3,9,20,null,null,15,7] 输出:2 示例 2: 输入:root = [2,null,3,null,4,null,5,null,6] 输出:5 提示: 树中节点数的范围在 [0, 105] 内 -1000 <= Node.val <= 1000

目标:找最小的叶子节点
(1)BFS
1 def generate_related_nodes(visited, node): 2 next_node_list = [] 3 for next_node in [node[0].left, node[0].right]: 4 if next_node and next_node not in visited: 5 next_node_list.append([next_node, node[1]+1]) 6 return next_node_list 7 8 class Solution(object): 9 def minDepth(self, root): 10 """ 11 :type root: TreeNode 12 :rtype: int 13 """ 14 if not root: return 0 15 visited = {} 16 level = 1 17 queue = [] 18 visited[root] = 1 19 queue.append([root, level]) 20 while queue: 21 node = queue.pop(0) 22 if not node[0].left and not node[0].right: 23 return node[1] 24 queue.extend(generate_related_nodes(visited, node))
(2)DFS
要记录深度level,更新max和min
1 import sys 2 3 class Solution(object): 4 def __init__(self): 5 self.min_depth = sys.maxint 6 7 def minDepth(self, root): 8 if not root: 9 return 0 10 self.DFS(1, root) 11 return self.min_depth 12 13 def DFS(self, depth, root): 14 if not root.left and not root.right: 15 if depth < self.min_depth: 16 self.min_depth = depth 17 if root.left: 18 self.DFS(depth + 1, root.left) 19 if root.right: 20 self.DFS(depth + 1, root.right)
二叉树的最大深度
#Leetcode 104
给定一个二叉树,找出其最大深度。
二叉树的深度为根节点到最远叶子节点的最长路径上的节点数。
说明: 叶子节点是指没有子节点的节点。
示例:
给定二叉树 [3,9,20,null,null,15,7],
3
/ \
9 20
/ \
15 7
返回它的最大深度 3 。
(1)DFS
*时间复杂度O(N)
1 class Solution(object): 2 def __init__(self): 3 self.max_depth = 0 4 5 def maxDepth(self, root): 6 if not root: 7 return 0 8 self.DFS(1, root) 9 return self.max_depth 10 11 def DFS(self, depth, root): 12 if depth > self.max_depth: 13 self.max_depth = depth 14 if root.left: 15 self.DFS(depth + 1, root.left) 16 if root.right: 17 self.DFS(depth + 1, root.right)
(2)BFS
*时间复杂度O(N)
1 class Solution(object): 2 def __init__(self): 3 self.max_depth = 0 4 5 def maxDepth(self, root): 6 if not root: 7 return 0 8 self.BFS(root) 9 return self.max_depth 10 11 def BFS(self, root): 12 queue = [root] 13 while queue: 14 size = len(queue) 15 self.max_depth += 1 16 for _ in range(size): 17 cur_node = queue.pop(0) 18 if cur_node.left: 19 queue.append(cur_node.left) 20 if cur_node.right: 21 queue.append(cur_node.right)
浙公网安备 33010602011771号