【leetcode_C++_二叉树_day12】层序遍历 10 && 226.翻转二叉树&&101. 对称二叉树
1. 层序遍历
学会二叉树的层序遍历,可以一口气打完以下十题:
- 102.二叉树的层序遍历
- 107.二叉树的层次遍历II
- 199.二叉树的右视图
- 637.二叉树的层平均值
- 429.N叉树的层序遍历
- 515.在每个树行中找最大值
- 116.填充每个节点的下一个右侧节点指针
- 117.填充每个节点的下一个右侧节点指针II
- 104.二叉树的最大深度
- 111.二叉树的最小深度
队列:先进先出,复合一层一层遍历的逻辑,二叉树广度优先遍历
栈: 先进后出,适合模拟深度优先遍历,也就是递归的逻辑
102.二叉树的层序遍历
给你二叉树的根节点 root ,返回其节点值的 层序遍历 。 (即逐层地,从左到右访问所有节点)。
示例 1:

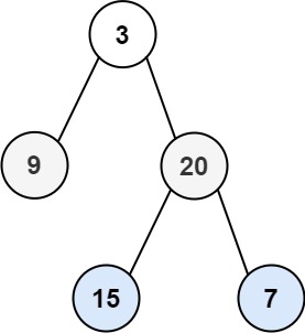
输入:root = [3,9,20,null,null,15,7]
输出:[[3],[9,20],[15,7]]
示例 2:
输入:root = [1]
输出:[[1]]
示例 3:
输入:root = []
输出:[]

代码如下:这份代码也可以作为二叉树层序遍历的模板,打十个就靠它了。
class Solution {
public:
vector<vector<int>> levelOrder(TreeNode* root) {
queue<TreeNode*> que;//建立一个队列
if(root!=NULL) que.push(root);
vector<vector<int>> result;//建立一个二维的数组
while(!que.empty())
{
int size=que.size();//队列的大小
vector<int> vec;//vec一维数组是用来存储当前高度的节点值
//这里一定要使用固定大小size,不要使用que.size(),因为que.size是不断变化的
for(int i=0;i<size;i++)
{
TreeNode* node =que.front();
que.pop();//
vec.push_back(node->val);//把节点的元素值压入一维数组vec中
if(node->left) que.push(node->left);//把左孩子压入队列中
if(node->right) que.push(node->right);//把右孩子压入队列中
}
result.push_back(vec);//result是二维数组
}
return result;
}
};
107.二叉树的层次遍历II
给你二叉树的根节点 root ,返回其节点值 自底向上的层序遍历 。 (即按从叶子节点所在层到根节点所在的层,逐层从左向右遍历)
示例 1:

输入:root = [3,9,20,null,null,15,7]
输出:[[15,7],[9,20],[3]]
示例 2:
输入:root = [1]
输出:[[1]]
示例 3:
输入:root = []
输出:[]
在模板的基础上reverse函数就可以了
class Solution {
public:
vector<vector<int>> levelOrderBottom(TreeNode* root) {
queue<TreeNode*> que;
if(root!=NULL) que.push(root);
vector<vector<int>> result;
while(!que.empty())
{
int size = que.size();
vector<int> vec;
for(int i=0;i<size;i++)
{
TreeNode* node =que.front();
que.pop();
vec.push_back(node->val);
if(node->left) que.push(node->left);
if(node->right) que.push(node->right);
}
result.push_back(vec);
}
reverse(result.begin(),result.end());
return result;
}
};
199.二叉树的右视图
给定一个二叉树的 根节点 root,想象自己站在它的右侧,按照从顶部到底部的顺序,返回从右侧所能看到的节点值。
示例 1:

输入: [1,2,3,null,5,null,4]
输出: [1,3,4]
示例 2:
输入: [1,null,3]
输出: [1,3]
示例 3:
输入: []
输出: []
层序遍历的时候,判断是否遍历到单层的最后面的元素,如果是,就放进result数组中,随后返回result就可以了。
class Solution {
public:
vector<int> rightSideView(TreeNode* root) {
queue<TreeNode*> que;
if(root!=NULL) que.push(root);
vector<int> result;
while(!que.empty())
{
int size=que.size();
for(int i=0;i<size;i++)
{
TreeNode* node =que.front();
que.pop();
//层序遍历的时候,判断是否遍历到单层的最后面的元素,如果是,就放进result数组中,随后返回result就可以了。
if(i==(size-1)) result.push_back(node->val);
if(node->left!=NULL) que.push(node->left);
if(node->right!=NULL) que.push(node->right);
}
}
return result;
}
};
637.二叉树的层平均值
给定一个非空二叉树的根节点 root , 以数组的形式返回每一层节点的平均值。与实际答案相差 10-5 以内的答案可以被接受。
示例 1:

输入:root = [3,9,20,null,null,15,7]
输出:[3.00000,14.50000,11.00000]
解释:第 0 层的平均值为 3,第 1 层的平均值为 14.5,第 2 层的平均值为 11 。
因此返回 [3, 14.5, 11] 。
示例 2:

输入:root = [3,9,20,15,7]
输出:[3.00000,14.50000,11.00000]
加入求和语句,最后返回sum/size平均值。注意返回类型是double
class Solution {
public:
vector<double> averageOfLevels(TreeNode* root) {
queue <TreeNode*> que;
if(root!=NULL) que.push(root);
vector<double> result;
while(!que.empty())
{
int size=que.size();
double sum=0;
for(int i=0;i<size;i++)
{
TreeNode *node=que.front();
que.pop();
sum=sum+node->val;
if(node->left!=NULL)que.push(node->left);
if(node->right!=NULL) que.push(node->right);
}
result.push_back(sum/size);// 将每一层均值放进结果集
}
return result;
}
};
429.N叉树的层序遍历
给定一个 N 叉树,返回其节点值的层序遍历。(即从左到右,逐层遍历)。
树的序列化输入是用层序遍历,每组子节点都由 null 值分隔(参见示例)。
示例 1:

输入:root = [1,null,3,2,4,null,5,6]
输出:[[1],[3,2,4],[5,6]]
示例 2:

输入:root = [1,null,2,3,4,5,null,null,6,7,null,8,null,9,10,null,null,11,null,12,null,13,null,null,14]
输出:[[1],[2,3,4,5],[6,7,8,9,10],[11,12,13],[14]]
用for循环吧多个节点的孩子push进队列中。
class Solution {
public:
vector<vector<int>> levelOrder(Node* root) {
queue<Node*> que;
if(root!=NULL) que.push(root);
vector<vector<int>> result;
while(!que.empty())
{
int size=que.size();
vector<int> vec;
for(int i=0;i<size;i++)
{
Node*node=que.front();
que.pop();
vec.push_back(node->val);
//将节点孩子加入队列
for(int i=0;i<node->children.size();i++)
{
if(node->children[i]) que.push(node->children[i]);
}
}
result.push_back(vec);
}
return result;
}
};
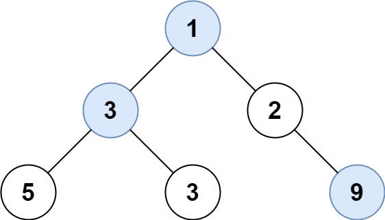
515.在每个树行中找最大值
给定一棵二叉树的根节点 root ,请找出该二叉树中每一层的最大值。
示例1:

输入: root = [1,3,2,5,3,null,9]
输出: [1,3,9]
示例2:
输入: root = [1,2,3]
输出: [1,3]
设置最大值max,并初始化为INT_MIN. if(node->val>max) max=node->val;
class Solution {
public:
vector<int> largestValues(TreeNode* root) {
queue<TreeNode*> que;
vector<int> result;
if (root != NULL) que.push(root);
while(!que.empty())
{
int size=que.size();
int max=INT_MIN;
for(int i=0;i<size;i++)
{
TreeNode*node=que.front();
que.pop();
if(node->val>max) max=node->val;
if(node->left) que.push(node->left);
if(node->right) que.push(node->right);
}
result.push_back(max);
}
return result;
}
};
116.填充每个节点的下一个右侧节点指针
给定一个 完美二叉树 ,其所有叶子节点都在同一层,每个父节点都有两个子节点。二叉树定义如下:
struct Node {
int val;
Node *left;
Node *right;
Node *next;
}
填充它的每个 next 指针,让这个指针指向其下一个右侧节点。如果找不到下一个右侧节点,则将 next 指针设置为 NULL。
初始状态下,所有 next 指针都被设置为 NULL。
示例 1:

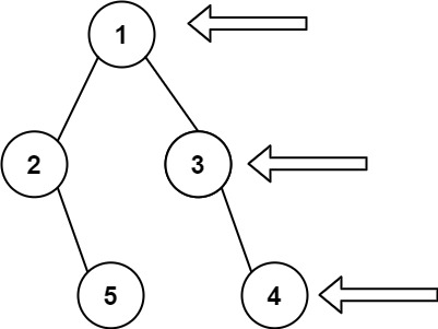
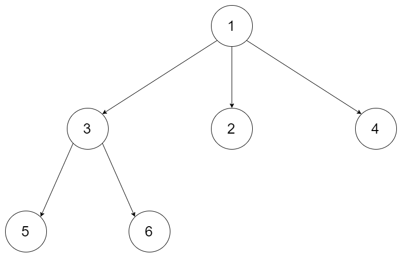
输入:root = [1,2,3,4,5,6,7]
输出:[1,#,2,3,#,4,5,6,7,#]
解释:给定二叉树如图 A 所示,你的函数应该填充它的每个 next 指针,以指向其下一个右侧节点,如图 B 所示。序列化的输出按层序遍历排列,同一层节点由 next 指针连接,'#' 标志着每一层的结束。
示例 2:
输入:root = []
输出:[]
需要设立头节点和非头节点两种节点。然后把节点连接起来就好了。返回root
class Solution {
public:
Node* connect(Node* root) {
queue<Node*> que;
if(root!=NULL) que.push(root);
while(!que.empty())
{
int size =que.size();
Node *nodePre;
Node *node;
for(int i=0;i<size;i++)
{
if(i==0)//头节点
{
nodePre=que.front();
que.pop();
node=nodePre;
}
else
{
node=que.front();
que.pop();
nodePre->next=node;
nodePre=nodePre->next;
}
if(node->left) que.push(node->left);
if(node->right) que.push(node->right);
}
nodePre->next=NULL;
}
return root;
}
};
117.填充每个节点的下一个右侧节点指针II
给定一个二叉树
struct Node {
int val;
Node *left;
Node *right;
Node *next;
}
填充它的每个 next 指针,让这个指针指向其下一个右侧节点。如果找不到下一个右侧节点,则将 next 指针设置为 NULL。
初始状态下,所有 next 指针都被设置为 NULL。
进阶:
- 你只能使用常量级额外空间。
- 使用递归解题也符合要求,本题中递归程序占用的栈空间不算做额外的空间复杂度。
示例:

输入:root = [1,2,3,4,5,null,7]
输出:[1,#,2,3,#,4,5,7,#]
解释:给定二叉树如图 A 所示,你的函数应该填充它的每个 next 指针,以指向其下一个右侧节点,如图 B 所示。序列化输出按层序遍历顺序(由 next 指针连接),'#' 表示每层的末尾。
和上一题的解答其实是一模一样的。
只是上一个是完美二叉树,这个就是普通二叉树罢了。
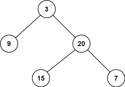
104.二叉树的最大深度
给定一个二叉树,找出其最大深度。
二叉树的深度为根节点到最远叶子节点的最长路径上的节点数。
说明: 叶子节点是指没有子节点的节点。
示例:
给定二叉树 [3,9,20,null,null,15,7],
3
/ \
9 20
/ \
15 7
返回它的最大深度 3 。
不需要读取元素值,只需要纪录遍历的次数就好了,遍历的次数就是深度。
class Solution {
public:
int maxDepth(TreeNode* root) {
queue<TreeNode*> que;
if(root!=NULL) que.push(root);
int depth=0;
while(!que.empty())
{
int size=que.size();
depth++;//记录深度
for(int i=0;i<size;i++)
{
TreeNode* node=que.front();
que.pop();
if(node->left) que.push(node->left);
if(node->right) que.push(node->right);
}
}
return depth;
}
};
111.二叉树的最小深度
给定一个二叉树,找出其最小深度。
最小深度是从根节点到最近叶子节点的最短路径上的节点数量。
说明:叶子节点是指没有子节点的节点。
示例 1:

输入:root = [3,9,20,null,null,15,7]
输出:2
示例 2:
输入:root = [2,null,3,null,4,null,5,null,6]
输出:5
左右孩子都为空,就说明到底了,该return 结果了。
/**
* Definition for a binary tree node.
* struct TreeNode {
* int val;
* TreeNode *left;
* TreeNode *right;
* TreeNode() : val(0), left(nullptr), right(nullptr) {}
* TreeNode(int x) : val(x), left(nullptr), right(nullptr) {}
* TreeNode(int x, TreeNode *left, TreeNode *right) : val(x), left(left), right(right) {}
* };
*/
class Solution {
public:
int minDepth(TreeNode* root) {
queue<TreeNode*> que;
int deep=0;
if(root!=NULL) que.push(root);
while(!que.empty())
{
int size=que.size();
deep++;
for(int i=0;i<size;i++)
{
TreeNode* node=que.front();
que.pop();
if(node->left) que.push(node->left);
if(node->right) que.push(node->right);
if(node->left==NULL&&node->right==NULL) return deep;
}
}
return deep;
}
};
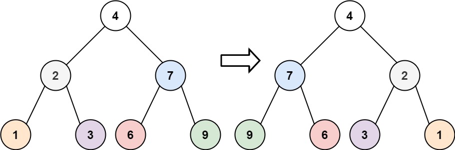
226.翻转二叉树 (优先掌握递归)
给你一棵二叉树的根节点 root ,翻转这棵二叉树,并返回其根节点。
示例 1:

输入:root = [4,2,7,1,3,6,9]
输出:[4,7,2,9,6,3,1]
示例 2:

输入:root = [2,1,3]
输出:[2,3,1]
示例 3:
输入:root = []
输出:[]
思路

遍历的过程中去翻转每一个节点的左右孩子就可以达到整体翻转的效果。
注意只要把每一个节点的左右孩子翻转一下,就可以达到整体翻转的效果
这道题的难度不高,但是需要想一下不同的遍历方式的应用。相当于对之前的学习内容的总结。
这道题目使用前序遍历和后序遍历都可以,唯独中序遍历不方便(不是不行,是不方便)

class Solution {
public:
//递归前序遍历法:中左右
TreeNode* invertTree(TreeNode* root) {
if(root==NULL) return root;
swap(root->left,root->right);//中
invertTree(root->left);//左
invertTree(root->right);//右
return root;
}
//迭代前序遍历
TreeNode* invertTree(TreeNode* root)
{
if(root==NULL) return root;
stack<TreeNode*> st;
st.push(root);
while(!st.empty())
{
TreeNode *node =st.top();//中
st.pop();
swap(node->left,node->right);
if(node->right) st.push(node->right);//右
if(node->left) st.push(node->left);//左
}
return root;
}
//迭代统一法前序遍历--迭代法涉及栈,即深度优先遍历
TreeNode* invertTree(TreeNode* root)
{
if(root==NULL) return root;
stack<TreeNode*> st;
st.push(root);
while(!st.empty())
{
TreeNode *node =st.top();
if(node!=NULL)
{
st.pop();
if(node->right) st.push(node->right);//右
if(node->left) st.push(node->left);//左
st.push(node);//中--即要处理的元素
st.push(NULL);//在要处理的元素后面加一个NULL
}
else
{
st.pop();
node=st.top();
st.pop();
swap(node->left,node->right);
}
}
return root;
}
};
//层序遍历--队列,即广度优先遍历
TreeNode* invertTree(TreeNode* root)
{
queue<TreeNode*> que;
if(root!=NULL) que.push(root);
while(!que.empty())
{
int size=que.size();
for(int i=0;i<size;i++)
{
TreeNode* node=que.front();
que.pop();
swap(node->left,node->right);
if (node->left) que.push(node->left);
if (node->right) que.push(node->right);
}
}
return root;
}
};
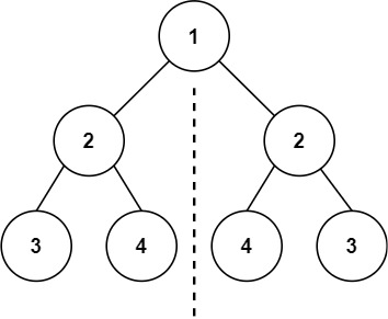
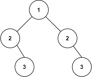
101. 对称二叉树 (优先掌握递归)
给你一个二叉树的根节点 root , 检查它是否轴对称。
示例 1:

输入:root = [1,2,2,3,4,4,3]
输出:true
示例 2:

输入:root = [1,2,2,null,3,null,3]
输出:false
思路

1. 递归法三部曲
🔸确定递归函数的参数和返回值
🔸确定终止条件
-
左节点为空,右节点不为空,不对称,return false
-
左不为空,右为空,不对称 return false
-
左右都为空,对称,返回true
-
左右都不为空,比较节点数值,不相同就return false
🔸确定单层递归的逻辑
- 比较二叉树外侧是否对称:传入的是左节点的左孩子,右节点的右孩子。
- 比较内测是否对称,传入左节点的右孩子,右节点的左孩子。
- 如果左右都对称就返回true ,有一侧不对称就返回false 。
2.迭代法
使用队列来比较两个树根节点的左右子树是否相互翻转。注意不是层序遍历。
其中,判断不是对称二叉树的逻辑和递归法是一样的。

class Solution {
public:
//递归法:我调我自己
bool compare(TreeNode* left,TreeNode* right)
{
//终止条件:
//左节点为空,右节点不为空,不对称,return false
if(left==NULL&&right!=NULL) return false;
// 左不为空,右为空,不对称 return false
else if(left!=NULL&&right==NULL) return false;
// 左右都为空,对称,返回true
else if(left==NULL&&right==NULL) return true;
//左右都不为空,比较节点数值,不相同就return false
else if(left->val!=right->val) return false;
//单层循环逻辑
bool outside =compare(left->left,right->right);//左子树:左、 右子树:右---外侧
bool inside = compare(left->right,right->left);//左子树:右、右子树:左---内侧
bool Same=outside&&inside;//内外侧都一致
return Same;
}
bool isSymmetric(TreeNode* root) {
if(root==NULL) return true;
return compare(root->left,root->right);
}
//迭代法:队列while循环
bool isSymmetric(TreeNode* root) {
if(root==NULL) return true;
queue<TreeNode*> que;
que.push(root->left);//左子树头节点加入队列
que.push(root->right);//右子树头节点加入队列
while(!que.empty())
{
TreeNode* leftnode=que.front();que.pop();//取出左子树
TreeNode* rightnode=que.front();que.pop();//取出右子树
if(!leftnode&&!rightnode) continue;//左空右空,对称。
// 左右一个节点不为空,或者都不为空但数值不相同,返回false
if ((!leftnode || !rightnode || (leftnode->val != rightnode->val))) {
return false;
}
que.push(leftnode->left);
que.push(rightnode->right);
que.push(leftnode->right);
que.push(rightnode->left);
}
return true;
}
};
本文来自博客园,作者:只想毕业的菜狗,转载请注明原文链接:https://www.cnblogs.com/MLcaigou/p/16882109.html
浙公网安备 33010602011771号