【leetcode_C语言_链表_day4】24. 两两交换链表中的节点&&19. 删除链表的倒数第 N 个结点&& 面试题 02.07. 链表相交&&142.环形链表 II(数学推导)
24. 两两交换链表中的节点
1.题目
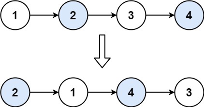
给你一个链表,两两交换其中相邻的节点,并返回交换后链表的头节点。你必须在不修改节点内部的值的情况下完成本题(即,只能进行节点交换)。
示例 1:

输入:head = [1,2,3,4]
输出:[2,1,4,3]
示例 2:
输入:head = []
输出:[]
示例 3:
输入:head = [1]
输出:[1]
2.分析
采用的还是设置一个虚拟头节点的方式

cur->next->next的前后两个节点cur->next和cur->next->next->next都断开了,为了能正确寻找到1和3,需要保存一下。设置临时保存点tmp1和tmp2。
链表需要区分奇数链表还是偶数链表:
奇数链表的最后cur->nextNULL;偶数链表cur->next->nextNULL;
以此来做判断while循环终止的条件。
注意要把cur->next!=NULL写在前面,cur->next->next!=NULL写在后面。否则容易出现空指针报错的情况。
/**
* Definition for singly-linked list.
* struct ListNode {
* int val;
* struct ListNode *next;
* };
*/
struct ListNode* swapPairs(st
19. 删除链表的倒数第 N 个结点
1.题目
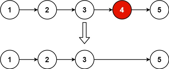
给你一个链表,删除链表的倒数第 n 个结点,并且返回链表的头结点。
示例 1:

输入:head = [1,2,3,4,5], n = 2
输出:[1,2,3,5]
示例 2:
输入:head = [1], n = 1
输出:[]
示例 3:
输入:head = [1,2], n = 1
输出:[1]
2.分析
- 定义fast指针和slow指针,初始值为虚拟头结点,如图:

-
fast首先走n + 1步 ,为什么是n+1呢,因为只有这样同时移动的时候slow才能指向删除节点的上一个节点(方便做删除操作),如图:
![img]()
-
fast和slow同时移动,直到fast指向末尾,如题:
![img]()
-
删除slow指向的下一个节点,如图:
![img]()
/**
* Definition for singly-linked list.
* struct ListNode {
* int val;
* struct ListNode *next;
* };
*/
struct ListNode* removeNthFromEnd(struct ListNode* head, int n){
//定义虚拟头节点
struct ListNode* dummy;
dummy=(struct ListNode*)malloc(sizeof(struct ListNode));
dummy->next=head;
//定义fast指针和slow指针,初始值为虚拟头结点
struct ListNode* fast;
struct ListNode* slow;
fast=dummy;
slow=dummy;
int cnt;
//定义临时存储变量tmp
struct ListNode* tmp;
//fast首先走n + 1步 ,为什么是n+1呢,因为只有这样同时移动的时候slow才能指向删除节点的上一个节点(方便做删除操作)
for(cnt=0;cnt<n+1;cnt++)
{
if(fast!=NULL)
fast=fast->next;
}
while(fast!=NULL)
{
//fast和slow同时移动,直到fast指向末尾
fast=fast->next;
slow=slow->next;
}
//删除slow指向的下一个节点
tmp=slow->next;
slow->next=slow->next->next;
free(tmp);//释放内存
return dummy->next;
}
面试题 02.07. 链表相交
1.题目
给你两个单链表的头节点 headA 和 headB ,请你找出并返回两个单链表相交的起始节点。如果两个链表没有交点,返回 null 。
图示两个链表在节点 c1 开始相交:
题目数据 保证 整个链式结构中不存在环。
注意,函数返回结果后,链表必须 保持其原始结构 。
示例 1:
输入:intersectVal = 8, listA = [4,1,8,4,5], listB = [5,0,1,8,4,5], skipA = 2, skipB = 3
输出:Intersected at '8'
解释:相交节点的值为 8 (注意,如果两个链表相交则不能为 0)。
从各自的表头开始算起,链表 A 为 [4,1,8,4,5],链表 B 为 [5,0,1,8,4,5]。
在 A 中,相交节点前有 2 个节点;在 B 中,相交节点前有 3 个节点。
示例 2:
输入:intersectVal = 2, listA = [0,9,1,2,4], listB = [3,2,4], skipA = 3, skipB = 1
输出:Intersected at '2'
解释:相交节点的值为 2 (注意,如果两个链表相交则不能为 0)。
从各自的表头开始算起,链表 A 为 [0,9,1,2,4],链表 B 为 [3,2,4]。
在 A 中,相交节点前有 3 个节点;在 B 中,相交节点前有 1 个节点。
示例 3:
输入:intersectVal = 0, listA = [2,6,4], listB = [1,5], skipA = 3, skipB = 2
输出:null
解释:从各自的表头开始算起,链表 A 为 [2,6,4],链表 B 为 [1,5]。
由于这两个链表不相交,所以 intersectVal 必须为 0,而 skipA 和 skipB 可以是任意值。
这两个链表不相交,因此返回 null 。
2.分析
注意,交点不是数值相等,而是指针相等
看如下两个链表,目前curA指向链表A的头结点,curB指向链表B的头结点:

我们求出两个链表的长度,并求出两个链表长度的差值,然后让curA移动到,和curB 末尾对齐的位置,如图:

此时我们就可以比较curA和curB是否相同,如果不相同,同时向后移动curA和curB,如果遇到curA == curB,则找到交点。
否则循环退出返回空指针。
/**
* Definition for singly-linked list.
* struct ListNode {
* int val;
* struct ListNode *next;
* };
*/
struct ListNode *getIntersectionNode(struct ListNode *headA, struct ListNode *headB) {
struct ListNode *curA=headA;
struct ListNode *curB=headB;
int cntA=0;
int cntB=0;
int cnt=0;
//我们求出两个链表的长度,并求出两个链表长度的差值,然后让curA移动到,和curB 末尾对齐的位置
//求出两个链表的长度
while(curA!=NULL)
{
curA=curA->next;
cntA++;
}
while(curB!=NULL)
{
curB=curB->next;
cntB++;
}
//求出两个链表长度的差值
curA=headA;
curB=headB;
cnt=abs(cntA-cntB);
//curA移动到,和curB 末尾对齐的位置
if(cntA-cntB>0)
{
while(cnt--)
{
curA=curA->next;
}
}
else
{
while(cnt--)
{
curB=curB->next;
}
}
// //比较curA和curB是否相同,如果不相同,同时向后移动curA和curB,如果遇到curA == curB,则找到交点。
while(curA!=NULL&&curB!=NULL)
{
if(curA==curB)//注意,交点不是数值相等,而是指针相等
{
printf("%d\n",curA->val);
return curA;
}
else
{
curA=curA->next;
curB=curB->next;
}
}
return NULL;
}
142.环形链表 II(数学推导)
1.题目
给定一个链表的头节点 head ,返回链表开始入环的第一个节点。 如果链表无环,则返回 null。
如果链表中有某个节点,可以通过连续跟踪 next 指针再次到达,则链表中存在环。 为了表示给定链表中的环,评测系统内部使用整数 pos 来表示链表尾连接到链表中的位置(索引从 0 开始)。如果 pos 是 -1,则在该链表中没有环。注意:pos 不作为参数进行传递,仅仅是为了标识链表的实际情况。
不允许修改 链表。
示例 1:

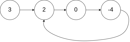
输入:head = [3,2,0,-4], pos = 1
输出:返回索引为 1 的链表节点
解释:链表中有一个环,其尾部连接到第二个节点。
示例 2:

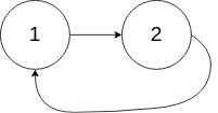
输入:head = [1,2], pos = 0
输出:返回索引为 0 的链表节点
解释:链表中有一个环,其尾部连接到第一个节点。
示例 3:

输入:head = [1], pos = -1
输出:返回 null
解释:链表中没有环。
2.分析
这道题目,不仅考察对链表的操作,而且还需要一些数学运算。
主要考察两知识点:
- 判断链表是否环
- 如果有环,如何找到这个环的入口
#判断链表是否有环
可以使用快慢指针法,分别定义 fast 和 slow 指针,从头结点出发,fast指针每次移动两个节点,slow指针每次移动一个节点,如果 fast 和 slow指针在途中相遇 ,说明这个链表有环。
为什么fast 走两个节点,slow走一个节点,有环的话,一定会在环内相遇呢,而不是永远的错开呢
首先第一点:fast指针一定先进入环中,如果fast指针和slow指针相遇的话,一定是在环中相遇,这是毋庸置疑的。
那么来看一下,为什么fast指针和slow指针一定会相遇呢?
可以画一个环,然后让 fast指针在任意一个节点开始追赶slow指针。
会发现最终都是这种情况, 如下图:

fast和slow各自再走一步, fast和slow就相遇了
这是因为fast是走两步,slow是走一步,其实相对于slow来说,fast是一个节点一个节点的靠近slow的,所以fast一定可以和slow重合。
动画如下:

#如果有环,如何找到这个环的入口
此时已经可以判断链表是否有环了,那么接下来要找这个环的入口了。
假设从头结点到环形入口节点 的节点数为x。 环形入口节点到 fast指针与slow指针相遇节点 节点数为y。 从相遇节点 再到环形入口节点节点数为 z。 如图所示:

那么相遇时: slow指针走过的节点数为: x + y, fast指针走过的节点数:x + y + n (y + z),n为fast指针在环内走了n圈才遇到slow指针, (y+z)为 一圈内节点的个数A。
因为fast指针是一步走两个节点,slow指针一步走一个节点, 所以 fast指针走过的节点数 = slow指针走过的节点数 * 2:
(x + y) * 2 = x + y + n (y + z)
两边消掉一个(x+y): x + y = n (y + z)
因为要找环形的入口,那么要求的是x,因为x表示 头结点到 环形入口节点的的距离。
所以要求x ,将x单独放在左面:x = n (y + z) - y ,
再从n(y+z)中提出一个 (y+z)来,整理公式之后为如下公式:x = (n - 1) (y + z) + z 注意这里n一定是大于等于1的,因为 fast指针至少要多走一圈才能相遇slow指针。
这个公式说明什么呢?
先拿n为1的情况来举例,意味着fast指针在环形里转了一圈之后,就遇到了 slow指针了。
当 n为1的时候,公式就化解为 x = z,
这就意味着,从头结点出发一个指针,从相遇节点 也出发一个指针,这两个指针每次只走一个节点, 那么当这两个指针相遇的时候就是 环形入口的节点。
也就是在相遇节点处,定义一个指针index1,在头结点处定一个指针index2。
让index1和index2同时移动,每次移动一个节点, 那么他们相遇的地方就是 环形入口的节点。
动画如下:

那么 n如果大于1是什么情况呢,就是fast指针在环形转n圈之后才遇到 slow指针。
其实这种情况和n为1的时候 效果是一样的,一样可以通过这个方法找到 环形的入口节点,只不过,index1 指针在环里 多转了(n-1)圈,然后再遇到index2,相遇点依然是环形的入口节点。
/**
* Definition for singly-linked list.
* struct ListNode {
* int val;
* struct ListNode *next;
* };
*/
struct ListNode *detectCycle(struct ListNode *head) {
//判断是否有环
//使用快慢指针法,分别定义fast和slow两个指针。
struct ListNode *fast;
struct ListNode *slow;
fast=head;
slow=head;
//在相遇节点处,定义一个指针index1,在头结点处定一个指针index2。
struct ListNode *index1;
struct ListNode *index2;
index2=head;
//fast指针每次移动两个节点,slow指针每次移动一个节点,如果 fast 和 slow指针在途中相遇 ,说明这个链表有环。
while(fast!=NULL&&fast->next!=NULL)
{
slow=slow->next;
fast=fast->next->next;
if(fast==slow)
{
index1=slow;
while(index1!=index2)
{
index1=index1->next;
index2=index2->next;
}
return index2;
// printf("%d",index2->val);
}
}
return NULL;
}
原来的程序没有把握好结构的优化,超时了。

本文来自博客园,作者:只想毕业的菜狗,转载请注明原文链接:https://www.cnblogs.com/MLcaigou/p/16804547.html







浙公网安备 33010602011771号