深度学习论文阅读笔记(4)-AlexNet
ImageNet Classification with Deep Convolutional Neural Networks
-
ReLU is faster and more accurate than saturating nonlinearities.
-
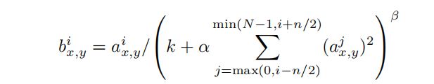
LRN

-
Overlapping max Pooling
4.1 data augmention
4.2 dropout

ReLU is faster and more accurate than saturating nonlinearities.
LRN

Overlapping max Pooling
4.1 data augmention
4.2 dropout
