浅析 FHQ-Treap&Treap
前言
\(\texttt{Treap}\) 就是 \(\texttt{Tree}\)(树) 加上 \(\texttt{Heap}\)(堆),所以 \(\texttt{Treap}\) 可翻译为“树堆”。
首先,\(\texttt{Treap}\) 是二叉搜索平衡树的一种,分无旋,和有旋,其中无旋的 \(\texttt{Treap}\) 是由范浩强引入的,所以又称 \(\texttt{FHQ-Treap}\)。
对于 \(\texttt{FHQ-Treap}\) 有些优点,比如它如果做区间操作的话,很简单,而且它如果需要可持久化的话,也很简单,而且由于无旋,个人认为比 \(\texttt{Treap}\) 要好理解。
二叉搜索树(BST)
学平衡树,你首先得明白二叉搜索树,就是如果这棵树是二叉搜索树,那么根节点的左子树里的节点全都比根节点要小,根节点的右子树也全都比根节点要大,且根节点的左右子树也是二叉搜索树,特别的空树是一颗二叉搜索树。
\(\texttt{FHQ-Treap}\)
\(\texttt{FHQ-Treap}\) 的操作主要有分裂(split)和合并(merge)。
分裂
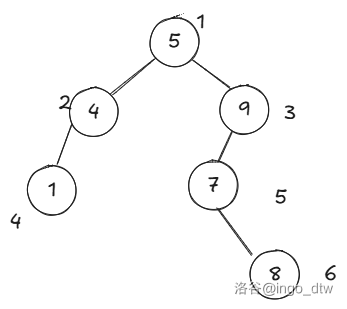
split 主要是将一个 \(\texttt{Treap}\) 分裂成两个 \(\texttt{Treap}\),其中 \(l\) 的节点全部小于 \(k\),而 \(r\) 的值全部大于等于 \(k\)。

如上图,我们将 \(k=7\) 那么我们用非常若只的想法,一个个遍历然后按照规则丢就好了。
但是我们可以提升一下。不难发现上面那样做分裂是 \(\mathcal{O}(V)\)(\(V\) 是顶点数)的,但是因为 \(\texttt{FHQ-Treap}\) 具有 二叉搜索树 的优良性质。
所以如果当前节点 \(u\) 的权值小于 \(k\) 那么它的左子树也全部小于 \(k\) 所以直接将这个子树加入 \(l\) 就好了,但是这个时候 \(u\) 的右子树可能会大于等于 \(k\) 所以我们还是要遍历右边的,反之亦然。
比如上面那个图:
先遍历 \(5\),注意到 \(5<7\) 所以 \(l=\{1,4,5\}\)。
- 现在左子树都处理完了,看看右子树:
- 再遍历 \(9\) 注意到 \(9\ge 7\) 所以 \(r=\{9\}\)。
- 最后是 \(7\) 注意到 \(7\ge 7\) 所以 \(r=\{7,8,9\}\)。
- 再遍历 \(9\) 注意到 \(9\ge 7\) 所以 \(r=\{9\}\)。
好了,来看看代码:
:::success[Code]
inline pair<int,int>split(rint u,rint k)//当前节点和要分裂的权值,返回分裂后两个的根节点编号
{
if(!u) return {0,0};
if(tr[u].x<k)//当前节点的权值小于分裂值
{
//根据二叉搜索树的性质,这个节点的左子树都小于它,所以左子树都<k,但是我们不知道右子树有没有可能>=k所以递归看看
auto x=split(tr[u].r,k);
tr[u].r=x.first;
pushup(u);//计算子树大小
return {u,x.second};
}
else//反之亦然
{
auto x=split(tr[u].l,k);
tr[u].l=x.second;
pushup(u);
return {x.first,u};
}
}
:::
合并
比如我们还是对 \(l\),\(r\) 两颗二叉搜索树操作,在合并前你必须保证 \(l\) 中每一个节点都要小于等于 \(r\),这很重要。(蓝色的是随机权值)
我们由于怕被卡掉所以我们可以将每个节点附加上随机权值,这样合并出来的二叉搜索树也是随机的。
我们遵守一个规律,就是随机值大的做随机值小的节点的子节点。
比如上图,节点 \(5\) 的随机值比 \(9\) 的小,所以 \(9\) 就直接合到右子树去。
来看看代码:
:::success[Code]
inline int merge(rint l,rint r)//合并 l 和 r,返回合并完的根节点
{
if(!l||!r) return l|r;//如果有个子树为空,返回另外一个
if(tr[l].s<tr[r].s)
{
tr[l].r=merge(tr[l].r,r);//继续与l子树的右子树比随机值
pushup(l);
return l;
}
else//反之亦然
{
tr[r].l=merge(l,tr[r].l);
pushup(r);
return r;
}
}
:::
插入
现在我们要插入一个节点权值为 \(x\),怎么办呢?
首先我们考虑直接把 \(x\) 建立成一个树,然后再把原来的 \(\texttt{FHQ-Treap}\) 给分裂(分裂的值取 \(x\))成 \(l\) 和 \(r\),最后将 \(l\),\(x\),\(r\) 合并就好。
来看看代码:
:::success[Code]
inline void insert(rint x)
{
tr[++cnt]={0,0,x,(int)(rnd()),1};//没有左子树和右子树子树大小为1
auto [l,r]=split(root,x);
root=merge(merge(l,cnt),r);
}
:::
删除
现在要删除一个值为 \(x\) 节点怎么办呢?这个比较好玩。
首先我们先把原来一颗树分为 \(l\),\(r\) 分别为小于 \(x\) 和大于等于 \(x\) 的,这个时候我们将 \(r\) 分为等于 \(x\) 和 大 于的。
如果你要把值为 \(x\) 的节点全都删掉,那么直接合并 \(l\) 和 \(r\);如果你只要删掉一个值为 \(x\) 的节点,那你只需要将等于 \(x\) 的树的左子树和右子树合并,这样你就将根节点删掉了。
看看代码:
:::success[Code]
inline void erase(rint x)
{
auto [l,r]=split(root,x);
auto [m,rr]=split(r,x+1);
if(m)
{
m=merge(tr[m].l,tr[m].r);
}
root=merge(merge(l,m),rr);
}
:::
查询排名
我们需要查询 \(x\) 的排名,怎么办呢?
直接将树分裂(分裂值为 \(x\)),然后直接返回小于 \(x\) 的子树的字数大小加一就好。
来看看代码:
:::success[Code]
inline int find1(rint x)
{
auto [l,r]=split(root,x);
rint ans=tr[l].siz+1;
root=merge(l,r);
return ans;
}
:::
查询第 \(k\) 名
还是那张图。

首先,还是根据二叉搜索树的优良性质,所以我们直接不看权值什么的,只看编号。
比如上图,我们需要找到第 \(4\) 大的,我们发现 \(1\) 号节点的右子树大小为 \(2\) 左子树为 \(3\) 显然,在左子树。
于是我们来到 \(3\) 号节点,左子树大小为 \(2\) 右子树为 \(0\),所以在左子树。
来到 \(5\) 号节点,发现左子树的大小为 \(0\) 是这个这个节点本身。
如果你想问,在 \(3\) 号节点的时候为什么不返回?因为 \(3\) 号节点的排名应该是:\(1\) 号节点左子树的大小加上自己,然后在加上 \(3\) 号节点的左子树。
来看看代码:
:::success[Code]
inline int find2(rint k)
{
rint pos=root;
while(pos)
{
if(k==tr[tr[pos].l].siz+1) return tr[pos].x;//就是这个节点
if(k<=tr[pos].siz) pos=tr[pos].l;//在左子树
else
{
k-=(tr[tr[pos].l].siz+1);//减去其他的方便后面计算
pos=tr[pos].r;
}
}
}
:::
查询前驱
怎么查询前驱呢?那不就是排名比 \(k\) 小 \(1\) 的元素吗?
:::success[Code]
inline int pre(rint x)
{
return find2(find1(x)-1);
}
:::
查询后继
差询后继和前驱不一样,为什么呢?因为我们的边界问题,我们定义 split 函数时,是分成 \(<x\) 和 \(\ge x\) 两类,如果和前驱一样,查询后继的话,那就是排名比 \(k\) 大 \(1\) 的元素,但是注意到我们 query2 函数,如果有过个相同的值,查询的是最前面的那个。
但是我们可以通过查询比 \(x\) 大 \(1\) 的值的排名的值来找到后继,为什么呢?因为 \(x\) 的后继就是比 \(x\) 大,的最小的那个,假设这个值存在,那它的是什么?没错就是 \(x+1\)。
总结一下,查询前驱可以用查询后继的方法,但是查询后继不可以用查询前驱的方法。
:::success[Code]
inline int nxt(rint x)
{
return find2(find1(x+1));
}
:::
计算子树大小
和线段树类似,左子树的大小加上右子树的大小加上自己。
:::success[Code]
inline void pushup(rint u)
{
tr[u].siz=tr[tr[u].l].siz+tr[tr[u].r].siz+1;
}
:::
完整代码
:::success[Ac Code]
#include <bits/stdc++.h>
using namespace std;
#ifdef __linux__
#define gc getchar_unlocked
#define pc putchar_unlocked
#else
#define gc _getchar_nolock
#define pc _putchar_nolock
#endif
#define int long long
#define rint register int
#define R register
#define _ read<int>()
template<class T>inline T read()
{
R T r=0,f=1;R char c=gc();
while(!isdigit(c))
{
if(c=='-') f=-1;
c=gc();
}
while(isdigit(c)) r=(r<<1)+(r<<3)+(c^48),c=gc();
return f*r;
}
inline void out(rint x)
{
if(x<0) pc('-'),x=-x;
if(x<10) pc(x+'0');
else out(x/10),pc(x%10+'0');
}
const int N=1e5+10;
int cnt,root;
mt19937 rnd(time(0)*114514/1919810);
struct FHQ_Treap
{
struct Tree
{
int l,r,x,s,siz;
}tr[N];
inline void pushup(rint u)
{
tr[u].siz=tr[tr[u].l].siz+1+tr[tr[u].r].siz;
}
inline pair<int,int>split(rint u,rint k)//当前节点和要分裂的权值,返回分裂后两个的根节点编号
{
if(!u) return {0,0};
if(tr[u].x<k)//当前节点的权值小于分裂值
{
//根据二叉搜索树的性质,这个节点的左子树都小于它,所以左子树都<k,但是我们不知道右子树有没有可能>=k所以递归看看
auto x=split(tr[u].r,k);
tr[u].r=x.first;
pushup(u);//计算子树大小
return {u,x.second};
}
else//反之亦然
{
auto x=split(tr[u].l,k);
tr[u].l=x.second;
pushup(u);
return {x.first,u};
}
}
inline int merge(rint l,rint r)//合并 l 和 r,返回合并完的根节点
{
if(!l||!r) return l|r;//如果有个子树为空,返回另外一个
if(tr[l].s<tr[r].s)
{
tr[l].r=merge(tr[l].r,r);//继续与l子树的右子树比随机值
pushup(l);
return l;
}
else//反之亦然
{
tr[r].l=merge(l,tr[r].l);
pushup(r);
return r;
}
}
inline void insert(rint x)
{
tr[++cnt]={0,0,x,(int)(rnd()),1};//没有左子树和右子树子树大小为1
auto [l,r]=split(root,x);
root=merge(merge(l,cnt),r);
}
inline void erase(rint x)
{
auto [l,r]=split(root,x);
auto [m,rr]=split(r,x+1);
if(m) m=merge(tr[m].l,tr[m].r);
root=merge(merge(l,m),rr);
}
inline int find1(rint x)
{
auto [l,r]=split(root,x);
rint ans=tr[l].siz+1;
root=merge(l,r);
return ans;
}
inline int find2(rint k)
{
rint pos=root;
while(pos)
{
if(k==tr[tr[pos].l].siz+1) return tr[pos].x;//就是这个节点
if(k<=tr[tr[pos].l].siz) pos=tr[pos].l;//在左子树
else
{
k-=(tr[tr[pos].l].siz+1);//减去其他的方便后面计算
pos=tr[pos].r;
}
}
return -1;
}
inline int pre(rint x)
{
return find2(find1(x)-1);
}
inline int nxt(rint x)
{
return find2(find1(x+1));
}
}tr;
signed main()
{
rint q=_;
while(q--)
{
rint op=_,x=_;
if(op==1) tr.insert(x);
else if(op==2) tr.erase(x);
else if(op==3)
{
out(tr.find1(x));pc('\n');
}
else if(op==4)
{
out(tr.find2(x));
pc('\n');
}
else if(op==5)
{
out(tr.pre(x));pc('\n');
}
else
{
out(tr.nxt(x));pc('\n');
}
}
return 0;
}
:::
带旋 \(\texttt{Treap}\)
首先,带旋 \(\texttt{Treap}\) 最大的特点就是左旋右旋。
左旋

如上图,现在我们把 \(B\) 左旋,这个时候 \(D\) 就成为根结点,然后 \(B\) 要成为 \(D\) 的左子树,但是和 \(E\) 冲突,因为是 BST 所以 \(B\) 肯定小于 \(E\) 所以把 \(E\) 接到 \(B\) 的右子树。

来看看改变了什么,首先根(\(B\))的右子树(\(D\))变为其右子树(\(D\))的左子树(\(E\)),其次根(\(B\))的右子树(\(D\))的左子树变为根(\(B\))。
:::success[Code]
inline int zag(rint u)
{
rint v=tr[u].r;
tr[u].r=tr[v].l;
tr[v].l=u;
pushup(u);
pushup(v);
return v;
}
:::
右旋

如上图,我们先不管具体的值,只看大小关系,我们需要将它从 \(F\) 那里右旋,将 \(F\) 往下调,于是 \(B\) 变为根节点,但是你发现 \(F>B\) 所以 \(F\) 变为 \(B\) 的右节点,可是 \(B\) 已经有个右节点 \(E\) 了,怎么办呢?注意到已 \(B\) 为根的子树全都小于 \(F\) 所以 \(E\) 应该在 \(F\) 的左子树。

如上图,现在右旋完了,我们对比一下看一下改变了啥,首先就是 \(B\) 的右子树变为以 \(F\) 为根的子树,\(F\) 的左子树从 \(B\) 变为 \(B\) 的右子树。
:::success[Code]
inline int zig(rint u)
{
rint v=tr[u].l;
tr[u].l=tr[v].r;
tr[v].r=u;
pushup(u);
pushup(v);
return v;
}
:::
插入
首先,我们要保证 BST 性质不被破坏,那么我们就按照 BST 性质,找到一个空节点建立这个新插入的点,然后如果破坏了小根堆性质,那么就左旋或者右旋调整过来。
:::success[Code]
inline int insert(rint u,rint x)//当前的点为u,插入值为x的点
{
if(!u) return neo(x);
if(x==tr[u].x) tr[u].cnt++;//相等
else if(x<tr[u].x)
{
tr[u].l=insert(tr[u].l,x);
if(tr[tr[u].l].s>tr[u].s) u=zig(u);//左儿子优先级高,右旋
}
else
{
tr[u].r=insert(tr[u].r,x);
if(tr[u].s>tr[tr[u].r].s) u=zag(u);//右儿子优先级高,左旋
}
pushup(u);
return u;
}
:::
删除
这个很有意思,首先我们先根据 BST 的性质,找到这节点,我们分类讨论一下:
- 如果这个节点不止一个:
- 删掉就好。
- 如果只有一个:
- 如果是叶子节点:
- 删掉就好。
- 如果是有一个左节点:
- 将要删掉的节点左旋,然后就变成叶子节点,删掉就好。
- 如果是有一个右节点:
- 将要删掉的节点右旋,然后就变成叶子节点,删掉就好。
- 如果两个节点都有:
- 比较两个节点的优先级,优先级低的左旋或者右旋上去,然后要删掉的节点变成叶子节点,删掉就好。
- 如果是叶子节点:
:::success[Code]
inline int erase(rint u,rint x)
{
if(!u) return 0;//没这个节点
if(x<tr[u].x)//在左子树
{
tr[u].l=erase(tr[u].l,x);
}
else if(x>tr[u].x)//在右子树
{
tr[u].r=erase(tr[u].r,x);
}
else//就是这个节点
{
if(tr[u].cnt>1) tr[u].cnt--;//大于一个
else
{
if(!tr[u].l&&!tr[u].r) return 0;//删掉
else if(tr[u].l&&!tr[u].r)
{
u=zig(u);tr[u].r=erase(tr[u].r,x);//删除,注意到这里不是叶子节点还要继续右旋到叶子节点
}
else if(!tr[u].l&&tr[u].r)
{
u=zag(u);tr[u].l=erase(tr[u].l,x);//同理
}
else
{
if(tr[tr[u].l].s<tr[tr[u].r].s)//左边的小,右旋
{
u=zig(u);tr[u].r=erase(tr[u].r,x);
}
else
{
u=zag(u);tr[u].l=erase(tr[u].l,x);
}
}
}
}
pushup(u);
return u;
}
:::
查询排名
怎么查询 \(x\) 的排名呢?还是按照 BST 的性质找 \(x\)。
- 找到了:
- 返回之前和加上左子树的大小加上 \(1\)。
- 如果在左子树:
- 继续找。
- 如果在右子树:
- 加上左子树和这个节点本身的大小继续找。
:::success[Code]
inline int find1(rint u,rint x)
{
if(!u) return 1;//没有x这个节点,排名1
if(x==tr[u].x)
{
return tr[tr[u].l].siz+1;//左子树大小加1
}
else if(x<tr[u].x)
{
return find1(tr[u].l,x);
}
else
{
return tr[tr[u].l].siz+tr[u].cnt+find1(tr[u].r,x);
}
}
:::
查询第 \(k\) 小
怎么查询第 \(k\) 小的数呢?和 \(\texttt{FHQ-Treap}\) 有点像,不过我们这次用递归来找。
:::success[Code]
inline int find2(rint u,rint k)
{
if(!u) return -114514;//没有这个排名
if(k<=tr[tr[u].l].siz)//在左子树中
{
return find2(tr[u].l,k);
}
else if(k<=tr[tr[u].l].siz+tr[u].cnt)//就是这个节点
{
return tr[u].x;
}
else//在右子树
{
return find2(tr[u].r,k-tr[tr[u].l].siz-tr[u].cnt);
}
}
:::
查询前驱
怎么查询 \(x\) 的前驱?我们来分情况讨论一下:
- 如果当前节点的值大于等于 \(x\):
- 说明 \(x\) 的前驱在左子树。
- 否则,查询先查询右子树有没有比 \(x\) 小点的,最后和当前节点取 \(\max\)。
:::success[Code]
inline int pre(rint u,rint x)//查询 x 前驱
{
if(!u) return -1145141919810;//这个子树中没有 x 前驱
if(x<=tr[u].x) return pre(tr[u].l,x);//前驱不是右子树和当前节点
return max(tr[u].x,pre(tr[u].r,x));
}
:::
查询后继
怎么查询 \(x\) 的后继呢?来讨论一下:
- 如果当前节点小于等于 \(x\):
- 后继肯定不在左子树或者当前节点,去右子树看看。
- 如果当前节点大于 \(x\):
- 去左子树看看大于 \(x\) 的,和当前节点取 \(\min\)。
:::success[Code]
inline int nxt(rint u,rint x)//查询x后继
{
if(!u) return 1145141919810;//这个子树没有 x 后继
if(tr[u].x<=x) return nxt(tr[u].r,x);
return min(tr[u].x,nxt(tr[u].l,x));
}
:::
完整代码
:::success[Ac Code]
#include <bits/stdc++.h>
using namespace std;
#ifdef __linux__
#define gc getchar_unlocked
#define pc putchar_unlocked
#else
#define gc _getchar_nolock
#define pc _putchar_nolock
#endif
#define R register
#define int long long
#define rint register int
#define _ read<int>()
inline bool blank(R const char &x){return !(x^32)||!(x^10)||!(x^13)||!(x^9);}
template<class T>inline T read()
{
R T r=0,f=1;R char c=gc();
while(!isdigit(c))
{
if(c=='-') f=-1;
c=gc();
}
while(isdigit(c)) r=(r<<1)+(r<<3)+(c^48),c=gc();
return f*r;
}
inline void out(rint x)
{
if(x<0) pc('-'),x=-x;
if(x<10) pc(x+'0');
else out(x/10),pc(x%10+'0');
}
inline void read(R char &x)
{
for(x=gc();blank(x)&&(x^-1);x=gc());
}
const int N=1e5+10;
mt19937 rnd(time(0)*114514/1919810);
int root=0;
struct Treap
{
struct Tree{int l,r,siz,cnt,x,s;}tr[N];
int cnt;
inline int neo(rint x)
{
tr[++cnt]={0,0,1,1,x,(int)rnd()};
return cnt;
}
inline void pushup(rint u){tr[u].siz=tr[tr[u].l].siz+tr[tr[u].r].siz+tr[u].cnt;}
inline int zag(rint u)//左旋
{
rint v=tr[u].r;
tr[u].r=tr[v].l;
tr[v].l=u;
pushup(u);pushup(v);
return v;
}
inline int zig(rint u)//右旋
{
rint v=tr[u].l;
tr[u].l=tr[v].r;
tr[v].r=u;
pushup(u);pushup(v);
return v;
}
inline int insert(rint u,rint x)//当前的点为u,插入值为x的点
{
if(!u) return neo(x);
if(x==tr[u].x) tr[u].cnt++;//相等
else if(x<tr[u].x)
{
tr[u].l=insert(tr[u].l,x);
if(tr[tr[u].l].s>tr[u].s) u=zig(u);//左儿子优先级高
}
else
{
tr[u].r=insert(tr[u].r,x);
if(tr[u].s>tr[tr[u].r].s) u=zag(u);//右儿子优先级第
}
pushup(u);
return u;
}
inline int erase(rint u,rint x)
{
if(!u) return 0;//没这个节点
if(x<tr[u].x)//在左子树
{
tr[u].l=erase(tr[u].l,x);
}
else if(x>tr[u].x)//在右子树
{
tr[u].r=erase(tr[u].r,x);
}
else//就是这个节点
{
if(tr[u].cnt>1) tr[u].cnt--;//大于一个
else
{
if(!tr[u].l&&!tr[u].r) return 0;//删掉
else if(tr[u].l&&!tr[u].r)
{
u=zig(u);tr[u].r=erase(tr[u].r,x);//删除,注意到这里不是叶子节点还要继续右旋旋到叶子节点
}
else if(!tr[u].l&&tr[u].r)
{
u=zag(u);tr[u].l=erase(tr[u].l,x);//同理
}
else
{
if(tr[tr[u].l].s<tr[tr[u].r].s)//左边的小,右旋
{
u=zig(u);tr[u].r=erase(tr[u].r,x);
}
else
{
u=zag(u);tr[u].l=erase(tr[u].l,x);
}
}
}
}
pushup(u);
return u;
}
inline int find1(rint u,rint x)
{
if(!u) return 1;//没有x这个节点,排名1
if(x==tr[u].x)
{
return tr[tr[u].l].siz+1;//左子树大小加1
}
else if(x<tr[u].x)
{
return find1(tr[u].l,x);
}
else
{
return tr[tr[u].l].siz+tr[u].cnt+find1(tr[u].r,x);
}
}
inline int find2(rint u,rint k)
{
if(!u) return -114514;//没有这个排名
if(k<=tr[tr[u].l].siz)//在左子树中
{
return find2(tr[u].l,k);
}
else if(k<=tr[tr[u].l].siz+tr[u].cnt)//就是这个节点
{
return tr[u].x;
}
else//在右子树
{
return find2(tr[u].r,k-tr[tr[u].l].siz-tr[u].cnt);
}
}
inline int pre(rint u,rint x)//查询 x 前驱
{
if(!u) return -1145141919810;//这个子树中没有 x 前驱
if(tr[u].x>=x) return pre(tr[u].l,x);//前驱不是右子树和当前节点
return max(tr[u].x,pre(tr[u].r,x));
}
inline int nxt(rint u,rint x)//查询x后继
{
if(!u) return 1145141919810;//这个子树没有 x 后继
if(tr[u].x<=x) return nxt(tr[u].r,x);
return min(tr[u].x,nxt(tr[u].l,x));
}
}tr;
signed main()
{
rint q=_;
while(q--)
{
rint op=_,x=_;
if(op==1)
{
root=tr.insert(root,x);
}
else if(op==2)
{
root=tr.erase(root,x);
}
else if(op==3)
{
out(tr.find1(root,x));pc('\n');
}
else if(op==4)
{
out(tr.find2(root,x));pc('\n');
}
else if(op==5)
{
out(tr.pre(root,x));pc('\n');
}
else
{
out(tr.nxt(root,x));pc('\n');
}
}
return 0;
}
:::
总结
个人认为这两种 \(\texttt{Treap}\) 各有各的优点,\(\texttt{FHQ-Treap}\) 简单易上手,可持久化、区间操作比较简单,带旋 \(\texttt{Treap}\) 左旋右旋个人感觉比较难理解,不过它常数比 \(\texttt{FHQ-Treap}\) 小(也许是我写法的问题),实际解决问题中,还是按需选择吧。
upd
2026/2/8:感谢 @JasmineCloud__ 指出的错误,已修正。
欢迎各位指出我的错误!

浙公网安备 33010602011771号