单位冲击响应与频响以及FIR实现代码(C语言)(转)

源:FIR数字滤波器C语言

1.单位冲击响应与频响

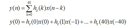
        就如同之前所说的一样,使用下图所示的单位冲击响应,所设计的滤波器,是无法实现的。

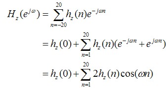
         现在,让我们看看其这个滤波器的频响。所谓频响,就是计算其单位冲击响应的离散时间傅里叶变换,

       我们可以看出,这个滤波器的频响的计算结果是实数,并没有虚数部分。也就是,其相位谱一直是0,也就意味着,这个滤波器输入与输出之间没有延迟,这种相位特性称为0延迟相位特性。

        但是,这个滤波器无法是无法实现的。我们实际计算一下该滤波器的输入输出,就可以明白。

        这个滤波器在计算的过程中,需要过去的值和未来的值。未来的值是不可预测的,所以,这个滤波器无法实现。为了使得这个滤波器可以实现,我们只好移动其单位冲击响应,使得其不再需要未来的值。比如,就像下面这样移动。

        这样的话,这个滤波器就可以实现了,我们只需要记录其40个过去的输入值和现在的输入值。但是,由于移动了其单位冲击响应,会不会对频响产生什么影响呢,我们来看看。

       为了更好的说明问题,L去代替之前例子中的20。

       移动之后频响,我们根据上面式子可以得出两个结论:1,移动不会对幅度谱产生影响。2,,移动会对相位产生一个延迟,这个延迟主要取决于移动的长度,移动的长度越长,延迟越大。但是,这个移动是线性的。

       因此,我们把这个移动的相位特性称为,线性相位特性。到这里,我们移动后的,因果的,可实现的滤波器的单位冲击响应,如下所示。

2.窗函数实现的FIR滤波器代码(C语言) 

#include <stdio.h>
#include <math.h>
#include <malloc.h>
#include <string.h>


#define   pi         (3.1415926)

/*-------------Win Type----------------*/
#define   Hamming    (1)



double Input_Data[] = 
{
0.000000 , 0.896802 , 1.538842 , 1.760074 ,  1.538842 ,  1.000000 ,  0.363271 , -0.142040 , -0.363271 , -0.278768,
0.000000 , 0.278768 , 0.363271 , 0.142020 , -0.363271 , -1.000000 , -1.538842 , -1.760074 , -1.538842 , -0.896802,
0.000000 , 0.896802 , 1.538842 , 1.760074 ,  1.538842 ,  1.000000 ,  0.363271 , -0.142040 , -0.363271 , -0.278768,
0.000000 , 0.278768 , 0.363271 , 0.142020 , -0.363271 , -1.000000 , -1.538842 , -1.760074 , -1.538842 , -0.896802,
0.000000 , 0.896802 , 1.538842 , 1.760074 ,  1.538842 ,  1.000000 ,  0.363271 , -0.142040 , -0.363271 , -0.278768,
0.000000 , 0.278768 , 0.363271 , 0.142020 , -0.363271 , -1.000000 , -1.538842 , -1.760074 , -1.538842 , -0.896802,
0.000000 , 0.896802 , 1.538842 , 1.760074 ,  1.538842 ,  1.000000 ,  0.363271 , -0.142040 , -0.363271 , -0.278768,
0.000000 , 0.278768 , 0.363271 , 0.142020 , -0.363271 , -1.000000 , -1.538842 , -1.760074 , -1.538842 , -0.896802,
0.000000 , 55
};




double sinc(double n)
{
    if(0==n) return (double)1;
    else return (double)(sin(pi*n)/(pi*n));
}
 
int Unit_Impulse_Response(int N,double w_c,
                          int Win_Type,
                          double *Output_Data)
{
    signed int Count = 0; 
  
    for(Count = -(N-1)/2;Count <= (N-1)/2;Count++)
    {
        *(Output_Data+Count+((N-1)/2)) = (w_c/pi)*sinc((w_c/pi)*(double)(Count));
        //printf("%d %lf  ",Count+((N-1)/2)+1,*(Output_Data+Count+((N-1)/2)));
        //if(Count%4 == 0) printf("\n");
    }    
    
    
    switch (Win_Type)
    {
        
        case Hamming:   printf("Hamming \n");
                        for(Count = -(N-1)/2;Count <= (N-1)/2;Count++)
                {
                    *(Output_Data+Count+((N-1)/2)) *= (0.54 + 0.46 * cos((2*pi*Count)/(N-1)));
                    //printf("%d %lf  ",Count+((N-1)/2)+1,*(Output_Data+Count+((N-1)/2)));
                    //if(((Count+1)%5 == 0)&&(Count != -20)) printf("\n");
               } 
                        break;
                        
                        
        default:        printf("default Hamming \n");
                        for(Count = -(N-1)/2;Count <= (N-1)/2;Count++)
                {
                    *(Output_Data+Count+((N-1)/2)) *= (0.54 + 0.46 * cos((2*pi*Count)/(N-1)));
                    //printf("%d %lf  ",Count+((N-1)/2)+1,*(Output_Data+Count+((N-1)/2)));
                    //if(((Count+1)%5 == 0)&&(Count != -20)) printf("\n");
               } 
        
                        break;
    }
    
    return (int)1;
}


void Save_Input_Date (double Scand,
                      int    Depth,
                      double *Input_Data)
{
    int Count;
  
    for(Count = 0 ; Count < Depth-1 ; Count++)
    {
        *(Input_Data + Count) = *(Input_Data + Count + 1);
    }
    
    *(Input_Data + Depth-1) = Scand;
}



double Real_Time_FIR_Filter(double *b,
                            int     b_Lenth,
                            double *Input_Data)
{    
    int Count;
    double Output_Data = 0;
    
    Input_Data += b_Lenth - 1;  
    
    for(Count = 0; Count < b_Lenth ;Count++)
    {        
            Output_Data += (*(b + Count)) *
                            (*(Input_Data - Count));                         
    }         
    
    return (double)Output_Data;
}





int main(void)
{
    double w_p = pi/10;
    double w_s = pi/5;
    double w_c = (w_s + w_p)/2;
    printf("w_c =  %f \n" , w_c);
    
    int N = 0;  
    N = (int) ((6.6*pi)/(w_s - w_p) + 0.5);
    if(0 == N%2) N++;    
    printf("N =  %d \n" , N);    
  
    double *Impulse_Response;        
    Impulse_Response = (double *) malloc(sizeof(double)*N);  
    memset(Impulse_Response,
           0,
           sizeof(double)*N);
           
    Unit_Impulse_Response(N,w_c,
                          Hamming,
                          Impulse_Response);       

    double *Input_Buffer;
    double Output_Data = 0;
    Input_Buffer = (double *) malloc(sizeof(double)*N);  
    memset(Input_Buffer,
           0,
           sizeof(double)*N);
    int Count = 0;
    
    FILE *fs; 
    fs=fopen("FIR_Data.txt","w"); 
    
    while(1)
    {   
        if(Input_Data[Count] == 55) break;
         
        Save_Input_Date (Input_Data[Count],
                     N,
                     Input_Buffer);
       
        Output_Data = Real_Time_FIR_Filter(Impulse_Response,
                                           N,
                                           Input_Buffer);
                         
          
        fprintf(fs,"%lf,",Output_Data);
        //if(((Count+1)%5 == 0)&&(Count != 0))  fprintf(fs,"\r\n"); 
   
        Count++;
    }
          
    /*---------------------display--------------------------------     
    for(Count = 0; Count < N;Count++)
    {
        printf("%d %lf  ",Count,*(Input_Buffer+Count));
        if(((Count+1)%5 == 0)&&(Count != 0)) printf("\n");             
    }      
    */  
    
    fclose(fs);
    printf("Finish \n");
    return (int)0;
}

 

3.频响的问题

        按照上面程序,参数如下设定。

   

        运行程序,我们就实现了一个FIR滤波器。我们使用Matlab做出其频响。

        

        好了,这里可以看出,从其幅度特性看来,我们确实实现了一个低通滤波器。但是,相位特性就比较奇怪(为了方便看出问题,我已经进行了解卷绕,至于什么是解卷绕,为什么要解卷绕,之后会说)。

       那么,问题来了!按照道理来说,这个FIR滤波器应该是拥有线性相位特性的,但是为什么这里的线性相位特性确不是一条直线!在接近于阻带起始频率的地方,有什么会震荡?这个问题,之后再解决吧。

      [数字信号处理]相位特性解卷绕   <-----------戳我

 

4.实际的滤波效果

       为了验证效果,我们输入实际的信号看看。这里,我们选择采样周期为10ms(0.1ms,2014.10.3日修正),那么,其通带频率和阻带起始频率为

       为了验证其性质,我选择了1KHz和3KHz的频率混合,最终输出。输入的波形如下。

      其输出波形是如下。

        红色的“+”是Matlab计算的结果,黑的o是我用C语言实现的滤波器的计算结果,蓝的*号是1KHz的信号,也就是希望的输出。可以看出,这个滤波器有一定的延迟,但是滤波效果还是不错。

       博客地址:http://blog.csdn.net/thnh169/ 

 

posted @ 2015-08-06 16:52  酒醉的Tiger  阅读(1146)  评论(0)    收藏  举报