对于一棵树里的任意两个节点,若他们的深度相同,显然他们到最近公共祖先的距离是相同的,我们可以利用这个性质来求最近公共祖先。
对于两个深度相同的节点,若此时父亲节点是同一个点,那么最近公共祖先就是父亲节点,如果不是的话我们就让他们向上跳到自己的父亲节点,再判断他们的父亲节点是否相同,重复该操作直到父亲节点相同时结束。

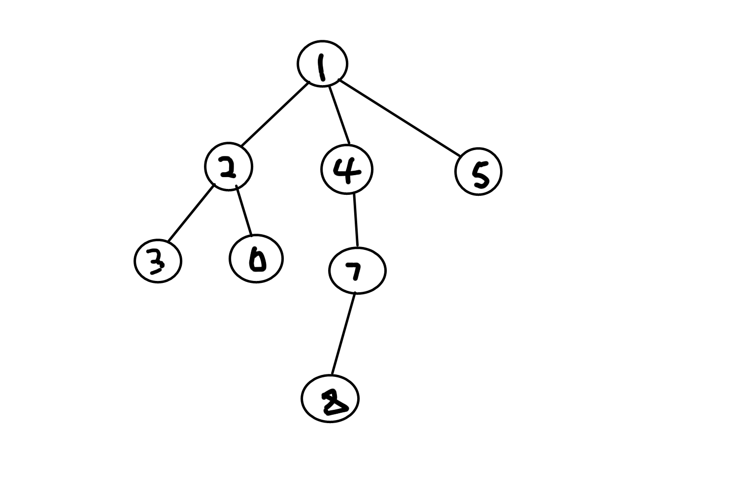
例如3和6,他们的父亲节点都为 2,因此直接返回最近公共祖先为 2,而 6 和 7 由于父亲节点分别为2 和 4 不相同,因此我们让他们向上跳到 2 和 4 ,而 2 和 4 的父亲节点都为 1,此时我们就可得出 6 和 7的最近公共祖先是 1。
方法很好实现,但时间效率令人堪忧。像这样一步一步向上跳,就成了一条链,时间效率也就为n,显然太低。我们可以运用倍增的思想。
对于相同深度的 u , v 两点,我们观察他们向上 2 j 辈的祖先节点(2 j 大于等于树的最大深度),此时若祖先节点相同(超出树的深度我们默认都为0),我们将 j--,因为此时我们并不知道该祖先节点是否为最近公共祖先。若祖先节点不同,说明最近公
共祖先还在其之上,因此我们向上跳到祖先节点处。
跳到祖先节点后我们是否需要将 j 重置呢?我们来想一下,假设向上 2 j 的祖先节点相同,而2 j-1 的祖先节点不同,此时 u 和 v 跳到 2 j-1 的祖先节点处,此时若再跳 2 j-1 次,不就回到了原来 u , v 的2 j 的祖先节点处了吗?再往上的祖先节点一定也是相
同的。因此我们不用再将 j 重置,因为再往上走相同甚至更多辈的祖先一定是相同的,所以直接继续 j--即可。
一直到 j 为0后,此时 u 和 v 的位置一定在最近公共祖先的儿子节点。(类似于二进制拆分,从大到小对 j 进行遍历时,如果 2 j 小于此时到最近公共祖先的距离,就加上 2 j 即向上跳,加完之后就为到最近公共祖先的儿子节点的距离)
可以结合下图理解一下。

具体代码实现如下。
1 int f[maxn][30];// f[i][j]表示i点向上跳2的j次方的祖先节点(f[i][0]就为父亲节点) 2 int Lca(int u,int v){ 3 if(u==v) return u; 4 for(int i=20;i>=0;i--){ 5 if(f[u][i]!=f[v][i]){//祖先相同不一定是最近公共祖先,若祖先不同则往上跳 (因为最近公共祖先一定还在上面) 6 u=f[u][i],v=f[v][i]; 7 } 8 }//跳完最后一定在最近公共祖先的儿子节点上 9 return f[u][0];//随便返回一个 10 }
看到这个 f 数组一定想到了ST表,那么我们还要对其进行预处理。我们可以利用类似的思路进行处理。
ST表 : https://www.cnblogs.com/Lie-Down/p/16525525.html
由于 2 j = 2 j-1 + 2 j-1 ,因此对于 i 点向上 2 j 辈的祖先节点,实际上就等同于 i 点向上 2 j-1 辈的祖先再向上跳 2 j-1 次。所以我们就得到了对ST表预处理的公式:f [ i ] [ j ] =f [ f [ i ] [ j - 1 ] ] [ j - 1 ] 。
for(int i=1;i<=20;i++){//预处理u节点的祖先们 int x=f[u][i-1]; f[u][i]=f[x][i-1];//u的(2的i次方)祖先相当于是u的(2的i-1次方)祖先向上跳(2的i-1次方)次 }
注意提前标记 u 节点的父亲节点!
对于相同深度的任意两点这样就能结束了,那么深度如果不同呢?
显然我们可以将深度大的点向上跳一直跳到和另一个点一样深。
我们使得 u 深度始终大于 v,用一个 len 来记录 u v 的深度之差,也就是说 u 需要向上跳 len 次。
这里我们可以使用二进制拆分将len拆分,然后再跳对应的步数即可。
举个栗子
例如这个图中的 3 和 8 ,显然我们需要将 8 向上跳到与3深度相同的地方,需要向上跳 5 步。而 5 二进制拆分可以分为 4 和 1 ,因此我们先向上跳1次也就是跳到 f [ 8 ] [ 0 ] = 1处,再向上跳4步也就是f [ 1 ][2 ]= 2处就可以了。
代码实现:
int d[maxn];//记录深度 int f[maxn][30];// f[i][j]表示i点向上跳2的j次方的祖先节点(f[i][0]就为父亲节点) int Query(int u,int v){ if(d[u]<d[v]) swap(u,v);//保证u的深度大于等于v int len=d[u]-d[v];//len为深度差,u总共需要向上跳len次 for(int i=0;i<=20;i++){ if(1<<i&len){//相当于二进制拆分(2的i次方每次只有一位为1,len写成二进制后对应数位为一结果位才为一,对应数位之和恰好为len) //例如len=10,二进制为1010,i为0时(1<<i)=1;1010&1=0;i为1时1010&10=10!=0;i为3时1010&1000=1000;1000+10=1010=len; u=f[u][i];//u向上跳(1<<i)次 } }//跳完此时u,v深度一样 return Lca(u,v); }
这样我们就可以写出完整的代码了。
#include<cstdio> #include<iostream> #include<cmath> using namespace std; const int maxn=5e5+5; struct Edge{ int to,next; }e[maxn*2]; int len,head[maxn]; void Insert(int u,int v){ e[++len].to=v; e[len].next=head[u]; head[u]=len; } int n,q,s; int f[maxn][30];// f[i][j]表示i点向上跳2的j次方的祖先节点(f[i][0]就为父亲节点) void Read(){ scanf("%d%d%d",&n,&q,&s); for(int i=1;i<n;i++){ int u,v; scanf("%d%d",&u,&v); Insert(u,v); Insert(v,u); } } int d[maxn];//记录深度 bool vis[maxn]; void dfs(int u,int fa,int deep){//dfs遍历整个树 (fa为父节点,deep为深度) vis[u]=1; f[u][0]=fa,d[u]=deep; for(int i=1;i<=20;i++){//预处理u节点的祖先们 int x=f[u][i-1]; f[u][i]=f[x][i-1];//u的(2的i次方)祖先相当于是u的(2的i-1次方)祖先向上跳(2的i-1次方)次 } for(int i=head[u];i;i=e[i].next){ int v=e[i].to; if(!vis[v]){ dfs(v,u,deep+1); } } } int Lca(int u,int v){ if(u==v) return u; for(int i=20;i>=0;i--){ if(f[u][i]!=f[v][i]){//祖先相同不一定是最近公共祖先,若祖先不同则往上跳 (因为最近公共祖先一定还在上面) u=f[u][i],v=f[v][i]; } }//跳完最后一定在最近公共祖先的儿子节点上 return f[u][0];//随便返回一个 } int Query(int u,int v){ if(d[u]<d[v]) swap(u,v);//保证u的深度大于等于v int len=d[u]-d[v];//len为深度差,u总共需要向上跳len次 for(int i=0;i<=20;i++){ if(1<<i&len){//相当于二进制拆分(2的i次方每次只有一位为1,len写成二进制后对应数位为一结果位才为一,对应数位之和恰好为len) //例如len=10,二进制为1010,i为0时(1<<i)=1;1010&1=0;i为1时1010&10=10!=0;i为3时1010&1000=1000;1000+10=1010=len; u=f[u][i];//u向上跳(1<<i)次 } }//跳完此时u,v深度一样 return Lca(u,v); } void sol(){ Read(); dfs(s,0,1); int ans[maxn]; for(int i=1;i<=q;i++){ int u,v; scanf("%d%d",&u,&v); ans[i]=Query(u,v); } for(int i=1;i<=q;i++){ printf("%d\n",ans[i]); } } int main(){ sol(); return 0; }