Hot 100题刷题 Day 4
Day 4
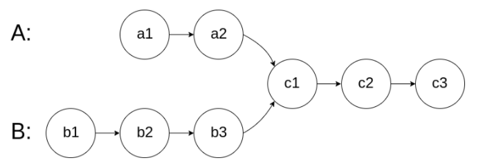
相交链表
- 题目:编写一个程序,找到两个单链表相交的起始节点。如下面的两个链表:

- 题目解析:相交链表这题由于链表 A 和链表 B 的长度差原因,必须消除长度差因素。可以采用暴力法,哈希表法,但时间复杂度和空间复杂度都较高,这里推荐一种双指针解法。代码如下:
public class Solution {
public ListNode getIntersectionNode(ListNode headA, ListNode headB) {
if(headA == null || headB == null)
return null;
ListNode p = headA;
ListNode q = headB;
while(p != q){
p = p == null ? headB : p.next;
q = q == null ? headA : q.next;
}
return p;
}
}
零钱兑换
-
题目:给定不同面额的硬币 coins 和一个总金额 amount。编写一个函数来计算可以凑成总金额所需的最少的硬币个数。如果没有任何一种硬币组合能组成总金额,返回 -1。你可以认为每种硬币的数量是无限的。
输入:coins = [1, 2, 5], amount = 11 输出:3 解释:11 = 5 + 5 + 1 -
题目解析:很明显的背包问题(动态规划求解),需要找出动态转移方程即可。
class Solution {
public int coinChange(int[] coins, int amount) {
int []dp = new int[amount + 1];
Arrays.fill(dp, amount + 1);
dp[0] = 0;
//i 表示钱包,即钱包中的总金额为 i
for(int i = 0; i < amount + 1; i ++){
for(int j = 0;j < coins.length; j ++){
if(coins[j] <= i){
//动态转移方程即是从 i - coin 的状态放入 coin 元硬币转换为现在的状态
dp[i] = Math.min(dp[i], dp[i - coins[j]] + 1);
}
}
}
return dp[amount] > amount ? -1 : dp[amount];
}
}
戳气球
-
题目:有 \(n\) 个气球,编号为 0 到 \(n - 1\),每个气球上都标有一个数字,这些数字存在数组 nums 中。现在要求你戳破所有的气球。戳破第 \(i\) 个气球,你可以获得 nums[i - 1] * nums[i] * nums[i + 1] 枚硬币。 这里的 i - 1 和 i + 1 代表和 i 相邻的两个气球的序号。如果 i - 1或 i + 1 超出了数组的边界,那么就当它是一个数字为 1 的气球。求得戳破气球所能获得的最大数量硬币。
-
题目解析:题目很明显可以用动态规划来做。但首先要注意一点,当数组下标越界时需要用 1 去替代 \(i + 1\) 和 \(i - 1\) 的值,因此,最好用一个数组来存放相关值。另外,相邻元素由于戳破气球时,会导致原本不相邻的元素变为相邻的元素,因此,可以将戳破气球的过程逆向思维思考,变成添加气球,那么左右相邻边界变得更为容易思考。可以采用记忆搜索的方式或者自底向上的动态规划的方式,代码如下:
class Solution {
// val 数组存放第 i 元素之前的元素
public int[] val;
// rec 二维数组存放左右边界为下标时的硬币数量,动态规划方式计算的。
public int[][] rec;
public int maxCoins(int[] nums) {
int n = nums.length;
val = new int[n + 2];
rec = new int[n + 2][n + 2];
for(int i = 1; i <= n; i ++)
val[i] = nums[i - 1];
val[0] = 1;
val[n + 1] = 1;
for(int i = 0;i < n + 2; i ++){
for(int j = 0; j < n + 2; j ++){
rec[i][j] = -1;
}
}
return getMax(0, n + 1);
}
public int getMax(int left, int right){
if(left >= right - 1)
return 0;
//避免递归时动态规划的多次搜索,直接返回相应的值
if(rec[left][right] != -1)
return rec[left][right];
for(int i = left + 1; i < right; i ++){
int sum = val[left] * val[i] * val[right];
sum += getMax(left, i) + getMax(i, right);
rec[left][right] = Math.max(sum, rec[left][right]);
}
return rec[left][right];
}
}
class Solution {
public int maxCoins(int[] nums) {
int n = nums.length;
int []val = new int[n + 2];
int [][]rec = new int[n + 2][n + 2];
for(int i = 1; i <= n; i ++)
val[i] = nums[i - 1];
val[0] = 1;
val[n + 1] = 1;
/**
* 尤其注意循环的嵌套关系,先是 i 从 n - 1,自底向上的动态规划,主要原因是由于 i < k < j,假如自顶向
* 下,会导致计算 dp[k][j] 时先引入还未计算的值,使得最后产生的值是错误的,主要思想其实和方法一十分相
* 似,不过方法一更好理解
**/
for(int i = n - 1; i >= 0; i --){
for(int j = i + 2; j <= n + 1; j ++){
for(int k = i + 1; k < j; k ++){
int sum = val[i] * val[k] * val[j];
sum += rec[i][k] + rec[k][j];
rec[i][j] = Math.max(rec[i][j], sum);
}
}
}
return rec[0][n + 1];
}
}

浙公网安备 33010602011771号