redis分布式情况使用
redis 主从复制 能解决HA高可用
主写 从读 做读写分离
但是容量问题没法解决
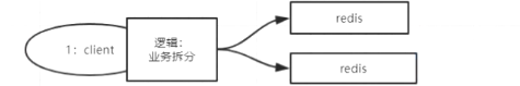
可以根据不同的业务 访问不同的redis 数据可以分类 交集不多

数据不能拆 将每笔数据 通过算法 hash+取模(modula)(redis有多少台)-----sharding分片
弊端 取模的值是固定的 影响分布式下的扩展性 如果扩展redis集群那么数据就不会在原来的redis中出现

random




redis 主从复制 能解决HA高可用
主写 从读 做读写分离
但是容量问题没法解决
可以根据不同的业务 访问不同的redis 数据可以分类 交集不多

数据不能拆 将每笔数据 通过算法 hash+取模(modula)(redis有多少台)-----sharding分片
弊端 取模的值是固定的 影响分布式下的扩展性 如果扩展redis集群那么数据就不会在原来的redis中出现

random



