AKF
redis单机,单节点,单进程----》有什么问题?------》1单点故障, 2容量有限,3单节点压力
可以做缓存,可以做数据库
1缓存用RDB 支持关机后快速启动,数据的恢复,可以局部恢复热数据,即使缺失也可以从数据库中读取数据,实现快速反应
2数据库用AOF 数据恢复全,也可以支持混合模式,前面是rdb后面是aof
--------怎么解决单点故障,容量邮箱,单节点压力
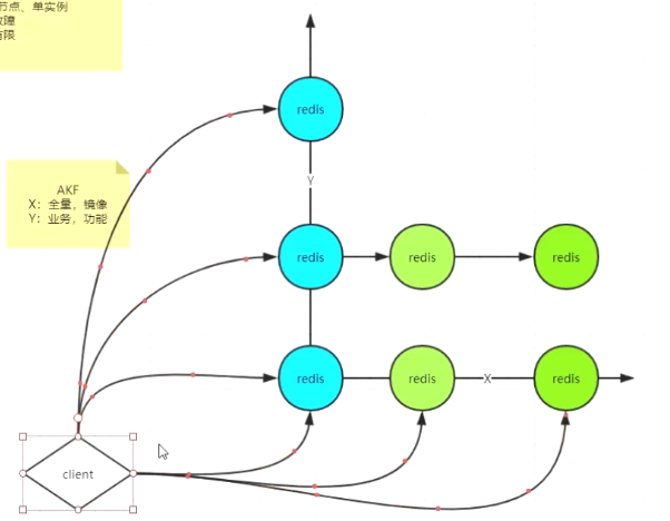
AKF
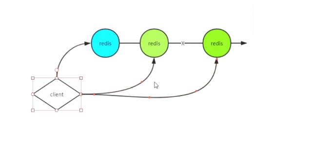
x 做redis的副本,或者做redis当做数据库的副本, 读写分离
全量镜像

y 对公司要存的数据按照功能业务来划分不同的进程实例来进行存储

z轴0-100放问100-1000访问其他一个功能在分多个实例

数据一致性问题
所有节点阻塞,同步方式,直到数据全部一致---》强一致性会破坏可用性
但是当初一个redis的时候就是因为不可用才会将redis一边多,
也就是说强一致性,和可用性不能共存,

若牺牲一部分一致性(容忍数据丢失一部分)
让主节点redis返回ok, 后面集群redis异步执行,别让客户端阻塞,实现高可用,


但是会出现集群全部宕机,主节点redis 无法拿到刚才存的数据, ------->怎么才能解决数据丢失问题?


主备 主挂掉 备用顶上, 不参与业务
主从 主参与业务 增删改 从查找 当主机宕机,从机顶上来 sentinel 哨兵


三台过半的是两台, 允许一台出现故障
四台过半是三台,允许一台出现故障
但是他们的成本不一样,出现的故障概率也不同
四台更容易出现故障
五台和六台相比

浙公网安备 33010602011771号