晶体管单管放大电路的三种基本接法的特点及分析
直流通路是在直流电源作用下直流流经的通路,用于研究静态工作点。对于直流电路,①电容视为开路;②电感线圈视为短路;③信号源视为短路,但应保留其内阻。
交流通路是输入信号作用下交流信号流经的通路,用于研究动态参数。对于交流通路,①容量大的电容视为短路,②无内阻的直流电源视为短路。
共射基本放大电路:

静态工作点Q点分析:



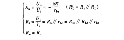
在输入回路,内反馈系数h12很小,即内反馈很弱,近似分析中可忽略不计,故晶体管的输入回路可近似等效为只有一个动态电阻rbe;在输出回路,h12很小,即rce很大,说明在近似分析中该支路中的电流忽略不计,故晶体管的输出回路可近似等效为只有一个受控电流源Ic,Ic=βIb;其等效电路图如下所示。【静态分析时,b-e间等效为直流恒压源,b-e间等效成一个电阻与一个电压控制的电压源串联;】【c-e等效成一个电流控制的电流源与一个电阻并联;最后,输入回路近似等效为只有一个动态电阻,输出回路近似等效为只有一个受控的电流源;】


Ut=26

例子:


共集基本放大电路:






基本共基放大电路:




浙公网安备 33010602011771号