Math--复数
基本定义:

基本运算规则:

可以直接 假定一个复数,直接X过去就行了,
利用三角函数解决问题。

利用泰勒展开对复数的利用,加上上面的三角函数

e函数和ln函数 运算法则的应用和 -1的转化利用泰勒公式 很重要。

记住下面这个公式

杨辉三角的利用:

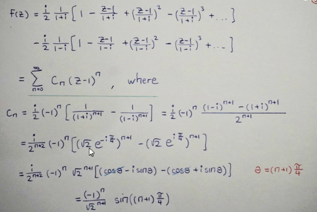
复数在泰勒中的应用:



另外的一个应用:




基本定义:

基本运算规则:

可以直接 假定一个复数,直接X过去就行了,
利用三角函数解决问题。

利用泰勒展开对复数的利用,加上上面的三角函数

e函数和ln函数 运算法则的应用和 -1的转化利用泰勒公式 很重要。

记住下面这个公式

杨辉三角的利用:

复数在泰勒中的应用:



另外的一个应用:



