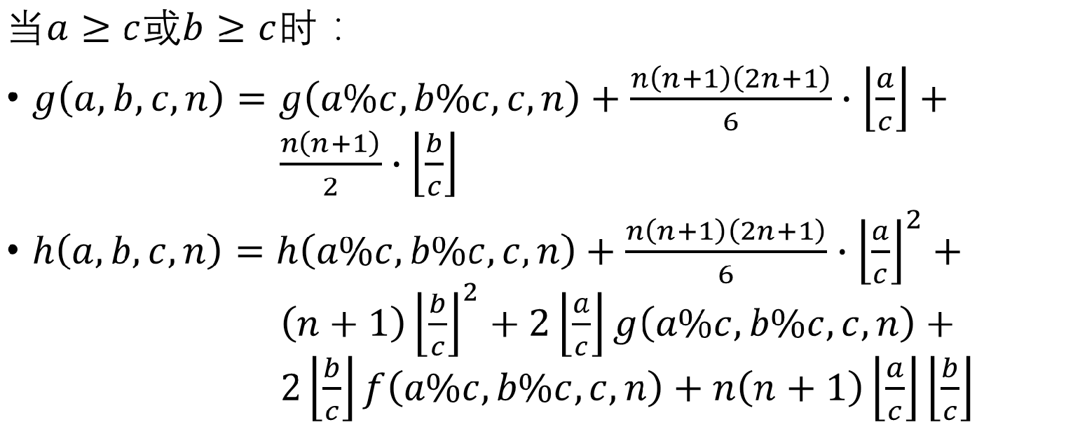
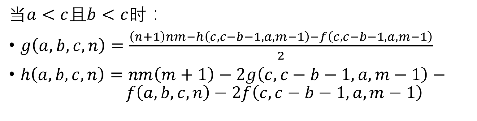
扩展类欧几里得

扩展类欧几里得就是求然后推理与  类欧几里得差不了多少(就亿点点)

然后补充一下 1^2+2^2+3^2+.....+n^2=n(n+1)(2n+1)/6;

然后我不想再推一次(太懒不想写QAQ)

 

作者不易,,,ε=(´ο`*)))唉,,, 有问题评论区见

 

posted @ 2020-10-13 21:26  *LZX*  阅读(90)  评论(0)    收藏  举报