题解:AT_agc035_e [AGC035E] Develop
题意:很简单了,不再赘述。
做法:
首先我们进行一步转化,我们考虑令 \(x\) 向 \(x-2,x+k\) 连边,那么对于一个删除的点集,显然不能成环,否则删不完,并且对于一个无环的点集我们直接按照拓扑序删除显然是可以的,然后转化为我们如何求有多少个点集是可以被删除的。
首先我们先对 \(k\) 的奇偶性分讨。
- \(k\) 是偶数。
那么我们将点按奇偶性拉开,每一部分都会长成下面这样,这里以奇数为例,\(k=4,n=8\)。

那么我们直接从前往后 dp,就行 \(dp_{i,j}\) 代表前 \(i\) 个点,连续选了 \(j\) 个的答案,要求 \(j<\frac{k}2 +1\)。最后算答案的时候把奇数和偶数的答案乘在一起就行。
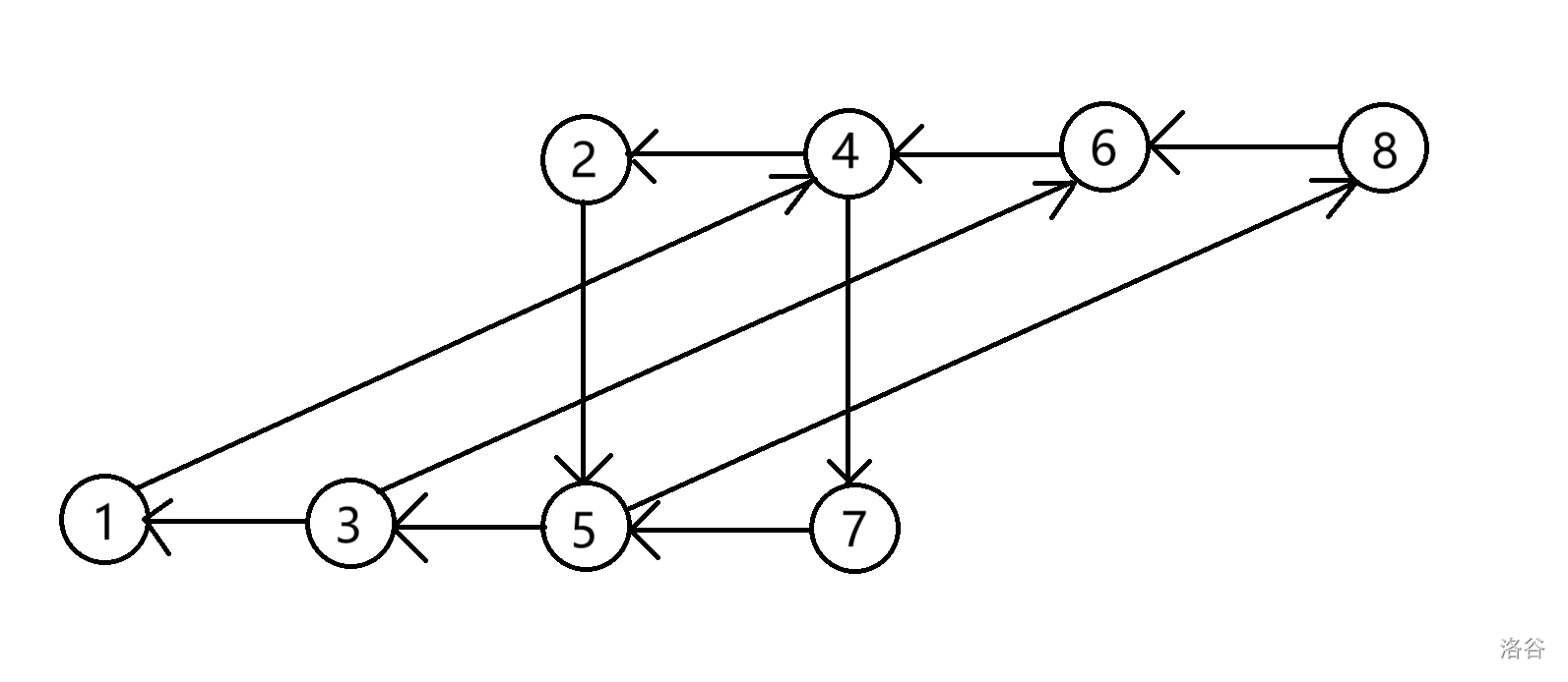
- \(k\) 是奇数。
以 \(n=8, k=3\) 为例:

在这个图上的环长是 \(k+2\),知道这个我们就能比较方便地去判定我们是否有一个环。
发现这个图显然是一个分层的形式,我们考虑从左到右,一层一层地 dp,显然是有 \(\frac{n+k}2\) 层的。

考虑这么 dp,\(dp_{i,p,q}\) 代表我们现在考虑到了从左到右第 \(i\) 层,其中从第二行开始且不到第一行的链最长为 \(p\),从第一行开始并且必须往下走到第二行的最长的链长为 \(q\)。注意到我们根本没有提到奇数到偶数的这一条 \(+k\) 边怎么使用,因为如果我们的 \(q\) 达到 \(k+2\),那么我们就可以用这条边回来,否则其实是没用的,所以这样的边我们只是作为一个限制,要求 \(q\le k+1\) 即可,注意我们没有对 \(p\) 限制。
那么考虑怎么转移,我们考虑枚举第一行第二行的点选或不选,注意到有些地方对位是没有的,比如第二列中其实是没有第一行的点的,这种我们直接认为是不选。
第一行不选,第二行不选:这种情况很简单,我们的 \(p,q\) 往后是没法扩展一点,所以有:
第一行选,第二行不选:那么对于第二行肯定就没法扩展了,\(p\) 变成了 \(0\),但是对于 \(q\) 不能单纯的变成 \(q+1\),原因是当 \(q=0\) 的时候,因为第二行没选,但是我们的状态定义里要求一定需要走到第二行,所以 \(q\) 还是 \(0\),这个需要特殊判断,有转移式:
第一行不选,第二行选:那么 \(q=0\),\(p\) 会加一,所以有:
第一行选,第二行选:对于 \(p\) 很简单,直接加一,但是对于 \(q\) 有两种,第一种是我们接在 \(i-1\) 的链上,第二种是我们直接在第 \(i\) 行下去走第二行的链,最后形成的最长链要对两者取 \(\max\),有转移式:
直接对着上面这一坨柿子转移即可,总复杂度 \(O(n^3)\)。

浙公网安备 33010602011771号