第1次作业-Numpy练习
1.创建一个边界值为1而内部都是0的数组,图例如下:
[提示:]解此题可以先把所有值都设置为1,这是大正方形;其次,把边界除外小正方形全部设置为0。
本题用到numpy的切片原理。多维数组同样遵循x[start:stop:step]的原理。
[1. 1. 1. 1. 1. 1. 1. 1. 1. 1.]
[1. 0. 0. 0. 0. 0. 0. 0. 0. 1.]
[1. 0. 0. 0. 0. 0. 0. 0. 0. 1.]
[1. 0. 0. 0. 0. 0. 0. 0. 0. 1.]
[1. 0. 0. 0. 0. 0. 0. 0. 0. 1.]
[1. 0. 0. 0. 0. 0. 0. 0. 0. 1.]
[1. 0. 0. 0. 0. 0. 0. 0. 0. 1.]
[1. 0. 0. 0. 0. 0. 0. 0. 0. 1.]
[1. 0. 0. 0. 0. 0. 0. 0. 0. 1.]
[1. 1. 1. 1. 1. 1. 1. 1. 1. 1.]
import numpy as np x=np.ones((10,10)) x[1:9,1:9]=0 print(x)

2.在数组主对角线上创建一个值为1,2,3,4的5x5矩阵,图例如下:
[1 0 0 0]
[0 2 0 0]
[0 0 3 0]
[0 0 0 4]
import numpy as np x=np.eye(4) x[1,1]=2 x[2,2]=3 x[3,3]=4 print(x)

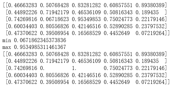
3.数组归一化操作
生成一个随机的5*5矩阵,找出最大值和最小值,然后把最大值和最小值分别用1和0表示,其他值则介于在0和1中间。
import numpy as np x=np.random.rand(5,5) print(x) print("min",np.min(x)) print("max",np.max(x)) x[x==np.min(x)]=0 x[x==np.max(x)]=1 print(x)


浙公网安备 33010602011771号