java基础-数组

数组

定义

1649069684844

  • 数组下标从0开始

数组声明创建

1649069898671

1649072065079

1649072091588

内存分析

1649072136885

  • 先在栈中声明,才能在堆里开辟空间

  • 声明时数组并不存在,只有创建时才存在;一般会也把声明和创建写在一起。

1649072645359

1649072715239

1649073244740

下标越界及小结

1649073450445

数组的使用

1649078502966

1649080810501

1649080674350

1649080695101

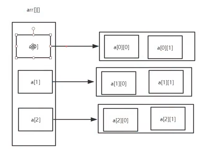
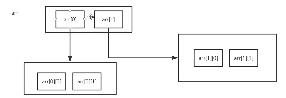
多维数组

  • 数组的嵌套,几行几列

1649081036282

  • 二维数组:

1649081018266

1649081391747

1649082476164

1649082502107

Arrays类讲解

1649082704942

1649084748495

1649084789341

1649084495606

冒泡排序

1649089763259

1649094765112

1649094785189

1649094811625

1649094828907

稀疏数组

1649095005038

1649095192260

1649099939484

1649099958701

1649100002659

1649100041742

 

posted @ 2022-04-05 03:23  尘世红叶  阅读(19)  评论(0)    收藏  举报