概率论几大分布的期望和方差证明整合
前言
-
简介
本文是对概率论中常见分布包括二项分布、0-1分布、泊松分布、均匀分布、正态分布、指数分布的期望和方差的证明整合,附加自己的推导或理解。
前言
简介
本文是对概率论中常见分布包括二项分布、0-1分布、泊松分布、均匀分布、正态分布、指数分布的期望和方差的证明整合,附加自己的推导或理解。
导览
二项分布 (Binomial Distribution)
泊松分布 (Poisson’s Distribution)
均匀分布 (Uniform Distribution)
正态分布 (Normal Distribution)
指数分布 (Exponential Distribution)
总结
二项分布 (Binomial Distribution) X~B(n,p):E(X)=np,D(X)=np(1-p)=npq 。
0-1分布 X~B(1,p):E(X)=p,D(X)=p(1-p)=pq 。
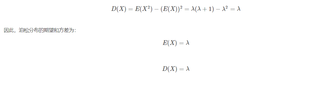
泊松分布 (Poisson’s Distribution) X~P(λ\lambdaλ):E(X)=λ,D(X)=λ 。
均匀分布 (Uniform Distribution) X~U(a,b) :E(X)=(a+b)/2(a+b)/2(a+b)/2,D(X)=(b−a)2/12(b-a)^2/12(b−a)2/12 。
正态分布 (Normal Distribution) X~N(μ,σ):E(X)=μ,D(X)=σ2σ^2σ2。
指数分布 (Exponential Distribution)X~Γ(1,β):E(X)=1/λ1/λ1/λ,D(X)=1/λ21/λ^21/λ2 。
正文
二项分布 (Binomial Distribution)


Part Ⅱ 0-1分布
X~B(1,p)

泊松分布 (Poisson’s Distribution)




均匀分布 (Uniform Distribution)


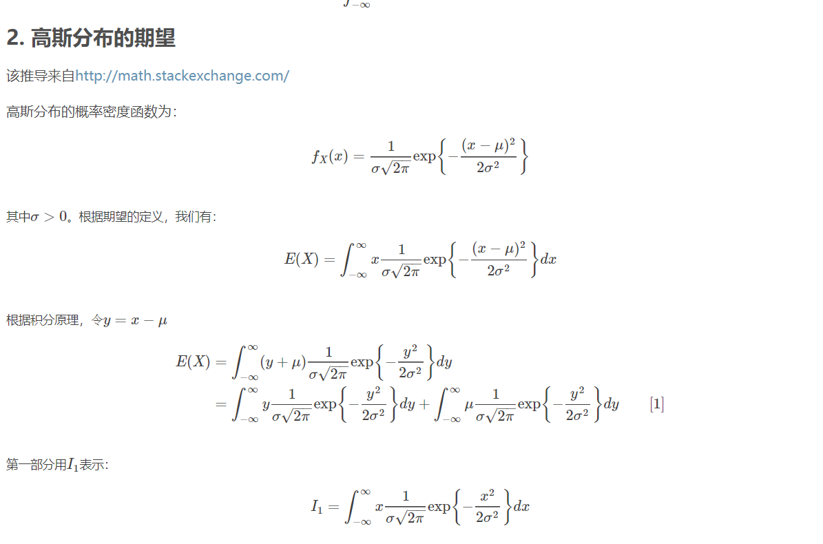
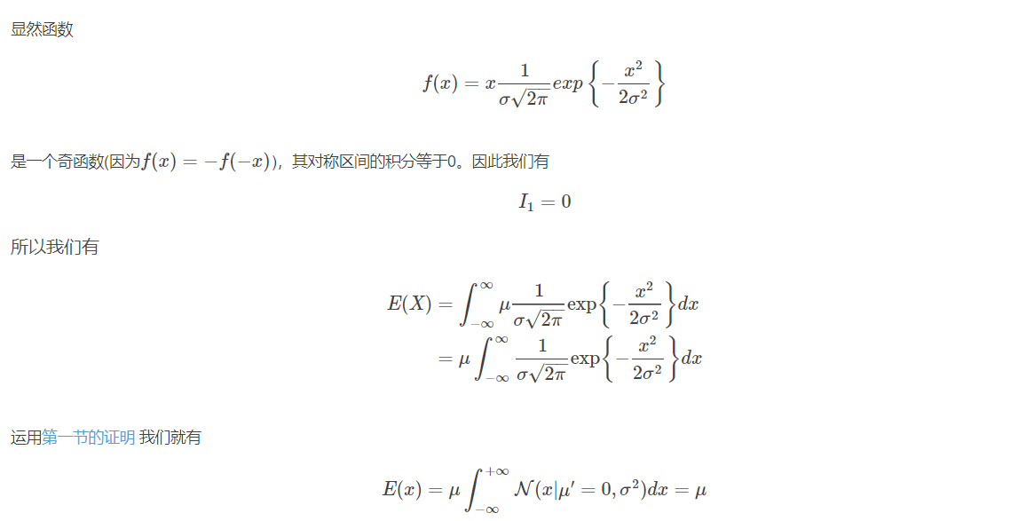
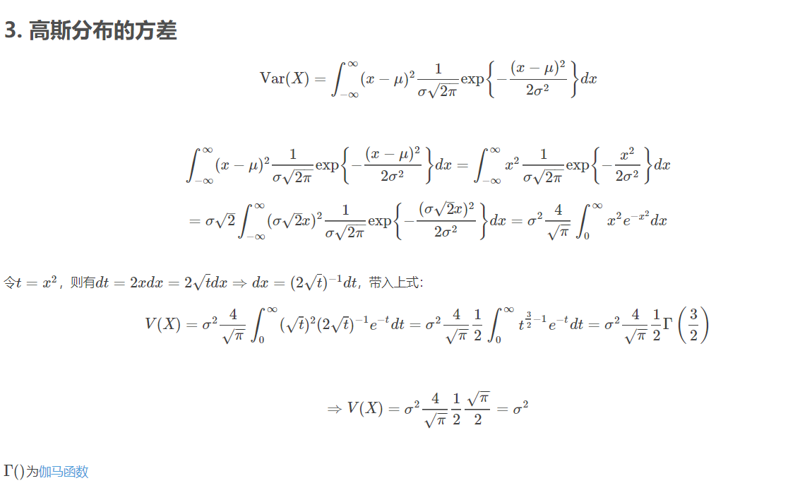
正态分布 (Normal Distribution)






该推导来自http://math.stackexchange.com/

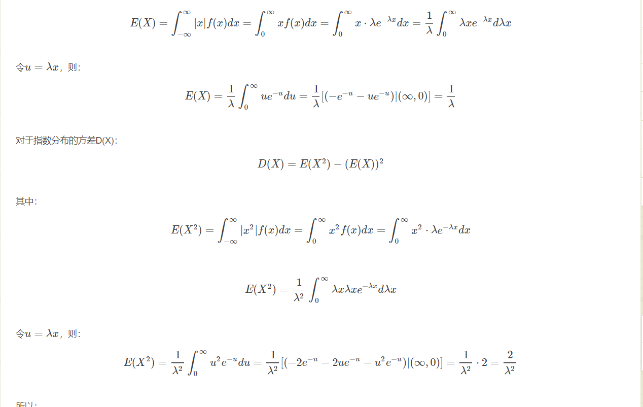
指数分布 (Exponential Distribution)




浙公网安备 33010602011771号