C语言笔记7(一维数组)
数组是一组有序的、类型相同的数据的集合,这些数据被称为数据的元素。
一维数组的定义
类型说明符 数组名【正整型常量表达式】
说明:
类型说明符:数组的类型。
数组名同变量名命名规则相同。
常量表达式指明数组中元素个数,必须大于0.可以是数值常量、符号常量和字符常量。
例如:
float mark[100]; char str[200]; int a[10];

说明:
(1)数组名后使用方括号而不是圆括号
(2)数组定义中的常量表达式表示数组元素个数。必须是大于0的常量。
(3)C语言中不允许使用变量对数组的大小进行定义。数组的说明语句必须在可执行语句之前。

一维数组的初始化
在数组定义式为数组元素赋初始值称为数组初始化
(1)对全部元素初始化。

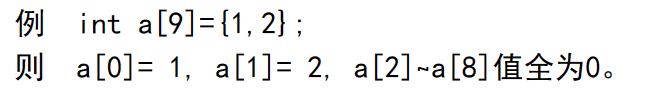
(2)给数组中部分元素赋初值,其他元素按0值处理。

(3)对数组元素全部赋值可以不指定长度。

(4)一维数组赋初值的个数不能超过数组总元素的个数。
C语言规定,只能引用单个数组元素,不能一次引用整个数组。
数组元素的应用形式:数组名[下标] 如a[3]
下标指出在数组中第几个元素
下标可以是整型常量、整型变量或整型表达式。
下标的值是数组元素的序号,且从0开始,直到n-1.
注意区分数组的定义和数组元素的引用。

下标与地址的关系
[ ]为下标运算符,数组名、数组元素是两种不同性质的数据。
数组名是数组的首地址,是一个地址常量。
数组元素则是数值。
引用数组元素时,根据首地址和下标,紫东计算出元素的实际地址,取出改地址的内容进行操作。


浙公网安备 33010602011771号