作业三
| 这个作业属于哪个课程 | 班级的链接 |
|---|---|
| 这个作业要求在哪里 | 作业要求的链接 |
| 这个作业的目标 | 1. 对给出内容进行建模,完成撰写需求规格说明书,完成项目后续的开发计划 |
| 2. 建立项目git仓库。项目后续的代码、文档都要通过git增量式管理。实现文档的版本化和增量式管理 |
一、项目背景
一家公司提供服务出租,自身有一些员工,另外还有很多自由职业者作为服务商存在。公司目前使用Excel工作表来管理他们的客户(自由职业者),时间表等。Excel解决方案无法很好地进行扩展。它无法应对多用户使用的场景,也不提供安全和审计日志。因此他们决定构建一个新的基于Web的解决方案。
二、需求分析
2.1 用户分析
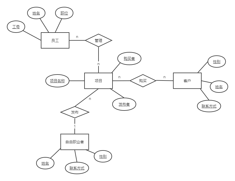
系统的包含的角色分为员工、自由职业者、客户三类,自由职业者通过公司发布他们的服务(项目),客户可查询不同项目并购买,员工可管理自由职业者、客户和项目的信息。
2.2 功能分析
- 搜索自由职业者分类的功能
- 用于存储联系自由职业者的不同渠道的解决方案
- 搜索项目分类的功能
- 搜索客户分类的功能
- 维护合同中自由职业者的时间表
三、详细设计
3.1 功能设计
| 角色 | 功能 |
|---|---|
| 员工 | 1. 注册/登录 |
| 2. 管理客户(自由职业者)信息 | |
| 3. 搜索项目分类 | |
| 4. 搜索客户(自由职业者)分类 | |
| 自由职业者 | 1. 注册/登录 |
| 2. 修改个人信息 | |
| 3. 发布服务 | |
| 客户 | 1. 注册/登录 |
| 2. 修改个人信息 | |
| 3. 购买服务 |
3.2 用例图

3.3 系统结构图

3.4 E-R图

四、项目地址
Github 地址:https://github.com/Krega0129/Integrated-System-Development
五、项目计划
| 计划 | 原有安排 |
|---|---|
| 需求分析 | 3天 |
| 详细设计 | 5天 |
| 数据库设计 | 7天 |
| 接口设计 | 8天 |
| 界面设计 | 3天 |
| 代码实现 | 14天 |
| 测试 | 3天 |
项目计划截图:

六、博客截图


浙公网安备 33010602011771号