二叉树的遍历
1.前序遍历
前序遍历(DLR,lchild,data,rchild),是二叉树遍历的一种,也叫做先根遍历、先序遍历、前序周游,可记做根左右。前序遍历首先访问根结点然后遍历左子树,最后遍历右子树。
前序遍历首先访问根结点然后遍历左子树,最后遍历右子树。在遍历左、右子树时,仍然先访问根结点,然后遍历左子树,最后遍历右子树。 
若二叉树为空则结束返回,否则:
(1)访问根结点。
(2)前序遍历左子树。
(3)前序遍历右子树 。前序遍历
需要注意的是:遍历左右子树时仍然采用前序遍历方法。
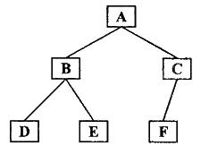
如图所示二叉树

前序遍历结果:ABDECF
已知后序遍历和中序遍历,就能确定前序遍历。
其实在遍历二叉树的时候有三次遍历, 比如前序遍历:A->B->D->D(D左子节点并返回到D)->D(D右子节点并返回到D)->B->E->E(左)->E(右)->->B->A->C->F->F(左)->F(右)->C->C(右),所以可以用栈结构,把遍历到的节点压进栈,没子节点时再出栈。也可以用递归的方式,递归的输出当前节点,然后递归的输出左子节点,最后递归的输出右子节点。直接看代码更package test//前序遍历的递归实现与非递归实import java.util.Stack;public class Test
{ public static void main(String[] args) { TreeNode[] node = new TreeNode[10];//以数组形式生成一棵完全二叉树 for(int i = 0; i < 10; i++) { node[i] = new TreeNode(i); } for(int i = 0; i < 10; i++) { if(i*2+1 < 10) node[i].left = node[i*2+1]; if(i*2+2 < 10) node[i].right = node[i*2+2]; } preOrderRe(node[0]); } public static void preOrderRe(TreeNode biTree) {//递归实现 System.out.println(biTree.value); TreeNode leftTree = biTree.left; if(leftTree != null) { preOrderRe(leftTree); } TreeNode rightTree = biTree.right; if(rightTree != null) { preOrderRe(rightTree); } } public static void preOrder(TreeNode biTree) {//非递归实现 Stack<TreeNode> stack = new Stack<TreeNode>(); while(biTree != null || !stack.isEmpty()) { while(biTree != null) { System.out.println(biTree.value); stack.push(biTree); 【节点入栈的目的:1.为了左子树向右子数的转移】 biTree = biTree.left; } if(!stack.isEmpty()) { biTree = stack.pop(); biTree = biTree.right; } } } }
在非递归遍历的时候,过程是这样的:A入栈,判断A的左子树是否为空,不为空的话,B入栈,同理,D入栈,D的左子树为空,D的右子树为空,此时D节点遍历完成,B的左子树遍历完成,
现在开始遍历B节点的右子树,F入栈,F左子树E入栈,F右子树为空,此时F节点遍历完成。A的右子树C入栈,C的左子树入栈,G的右子树H入栈,I入栈。此时整个二叉树遍历完毕。
class TreeNode//节点结构 { int value; TreeNode left; TreeNode right; TreeNode(int value) { this.value = value; } }
2.中序遍历
中序遍历(LDR)是二叉树遍历的一种,也叫做中根遍历、中序周游。在二叉树中,先左后根再右。巧记:左根右。
中序遍历首先遍历左子树,然后访问根结点,最后遍历右子树
若二叉树为空则结束返回,
否则:
(1)中序遍历左子树
(2)访问根结点
(3)中序遍历右子树
如右图所示二叉树
中序遍历结果:DBEAFC
import java.util.Stack; public class Test { public static void main(String[] args) { TreeNode[] node = new TreeNode[10];//以数组形式生成一棵完全二叉树 for(int i = 0; i < 10; i++) { node[i] = new TreeNode(i); } for(int i = 0; i < 10; i++) { if(i*2+1 < 10) node[i].left = node[i*2+1]; if(i*2+2 < 10) node[i].right = node[i*2+2]; } midOrderRe(node[0]); System.out.println(); midOrder(node[0]); } public static void midOrderRe(TreeNode biTree) {//中序遍历递归实现 if(biTree == null) return; else { midOrderRe(biTree.left); System.out.println(biTree.value); midOrderRe(biTree.right); } } public static void midOrder(TreeNode biTree) {//中序遍历费递归实现 Stack<TreeNode> stack = new Stack<TreeNode>(); while(biTree != null || !stack.isEmpty()) { while(biTree != null) { stack.push(biTree); biTree = biTree.left; } if(!stack.isEmpty()) { biTree = stack.pop(); System.out.println(biTree.value); biTree = biTree.right; } } } } class TreeNode//节点结构 { int value; TreeNode left; TreeNode right; TreeNode(int value) { this.value = value; } }
3.后序遍历(难点)后序遍历(LRD)是二叉树遍历的一种,也叫做后根遍历、后序周游,可记做左右根。后序遍历有递归算法和非递归算法两种。在二叉树中,先左后右再根。巧记:左右根。后序遍历首先遍历左子树,然后遍历右子树,最后访问根结点,在遍历左、右子树时,仍然先遍历左子树,然后遍历右子树,最后遍历根结点。即:若二叉树为空则结束返回,
否则:(1)后序遍历左子树
(2)后序遍历右子树
(3)访问根结点
后序遍历结果:DEBFCA
已知前序遍历和中序遍历,就能确定后序遍历。
算法核心思想:
首先要搞清楚先序、中序、后序的非递归算法共同之处:用栈来保存先前走过的路径,以便可以在访问完子树后,可以利用栈中的信息,回退到当前节点的双亲节点,进行下一步操作。
后序遍历的非递归算法是三种顺序中最复杂的,原因在于,后序遍历是先访问左、右子树,再访问根节点,而在非递归算法中,利用栈回退到时,并不知道是从左子树回退到根节点,还是从右子树回退到根节点,如果从左子树回退到根节点,此时就应该去访问右子树,而如果从右子树回退到根节点,此时就应该访问根节点。所以相比前序和后序,必须得在压栈时添加信息,以便在退栈时可以知道是从左子树返回,还是从右子树返回进而决定下一步的操作。
import java.util.Stack; public class Test { public static void main(String[] args) { TreeNode[] node = new TreeNode[10];//以数组形式生成一棵完全二叉树 for(int i = 0; i < 10; i++) { node[i] = new TreeNode(i); } for(int i = 0; i < 10; i++) { if(i*2+1 < 10) node[i].left = node[i*2+1]; if(i*2+2 < 10) node[i].right = node[i*2+2]; } postOrderRe(node[0]); System.out.println("***"); postOrder(node[0]); } public static void postOrderRe(TreeNode biTree) {//后序遍历递归实现 if(biTree == null) return; else { postOrderRe(biTree.left); postOrderRe(biTree.right); System.out.println(biTree.value); } } public static void postOrder(TreeNode biTree) {//后序遍历非递归实现 int left = 1;//在辅助栈里表示左节点 int right = 2;//在辅助栈里表示右节点 Stack<TreeNode> stack = new Stack<TreeNode>(); Stack<Integer> stack2 = new Stack<Integer>();//辅助栈,用来判断子节点返回父节点时处于左节点还是右节点。 while(biTree != null || !stack.empty()) { while(biTree != null) {//将节点压入栈1,并在栈2将节点标记为左节点 stack.push(biTree); stack2.push(left); biTree = biTree.left; } while(!stack.empty() && stack2.peek() == right) {//如果是从右子节点返回父节点,则任务完成,将两个栈的栈顶弹出 stack2.pop(); System.out.println(stack.pop().value); } if(!stack.empty() && stack2.peek() == left) {//如果是从左子节点返回父节点,则将标记改为右子节点 stack2.pop(); stack2.push(right); biTree = stack.peek().right; } } } } class TreeNode//节点结构 { int value; TreeNode left; TreeNode right; TreeNode(int value) { this.value = value; } }
转载自:https://blog.csdn.net/coder__666/article/details/80349039
https://blog.csdn.net/justinzengTM/article/details/80056106(中序遍历讲解的非常详细)
-

浙公网安备 33010602011771号