第七章 平面电磁波

电磁波、平面电磁波、均匀平面电磁波

什么是等相位面?

电磁波空间相位相同的点构成的曲面,又称为波阵面。

电磁波按波阵面的形状进行分类?

平面波、柱面波和球面波。

什么是平面电磁波?

平面电磁波是指电磁波的场矢量的等相位面是与电磁波传播方向垂直的无限大平面,它是矢量波动方程的一个特解。

什么是均匀平面电磁波?

其等相位面为无限大平面,且在等相位面上各点的场强的大小相等,方向相同。换句话说,一个波阵面上电磁波的场量只和传播方向以及时间有关,而与其他坐标无关。

理想介质中均匀平面波的传播参数和传播特性

理想介质中且无源的波动方程(时域)

其中波速(velocity,就是平面波的相速度)的表达式为:

理想介质中且无源的正弦稳态波动方程(频域)

其中波数(wavenumber)的表达式为:

理想介质和无源意味着什么?

前者:均为实数,,后者:。典型的同时满足这两个条件的介质:自由空间 free space

将电磁波时域方程代入麦氏方程求解后的结论?

  1. 对于一维时变电磁场,电场与磁场只在一个与纵向垂直的平面内,即没有纵向分量。
  2. 相互垂直。

以下示意图和表达式反映了他们的关系(假设电磁波沿方向进行传播):

其中:

同时,能够得到在其情况下的Maxwell方程;

若假定电场,则磁场,则波动方程可以变成标量形式:

    Maxwell方程也一样:

可见,在此假设下(一般都是研究这种情况),只需:

第一步:用波动方程求出电场

第二步:用麦克斯韦方程求出磁场。

    就能把两个场量求出来(或者反过来求也可以)。

求解电场的波动性方程,有通解:

和这两个因子说明了和具有波动性,或者更具体地:是行波。其中是沿z正方向以速度传播的电磁波,定义为入射波;是沿z负方向以速度传播的电磁波,定义为反射波。

将电场的表达式代入Maxwell方程,有磁场表达式:

显然电场和磁场的入射波/反射波之间存在如下比值关系:

称为本征波阻抗:

若在真空中,则有:

此时称这个参数为自由波阻抗(重要)

将上面的时域结论转为频域结论?

磁场和电场的表达式:

其中引入新的参数:

这个被称为相位常数,因为它能够反映电磁波的相位随着位移变化的快慢,同时其在数值上等于频域Maxwell方程所体现出来的波数。而这里的和则被称为行波因子。

若电磁波的初相位不为0,则可能有为复数的情况,此时它被称为复振幅。

此时仍有:

求出频域表达式之后要记得转回时域表达式。

均匀平面波的特性?

  1. 理想介质中一维电磁场构成均匀平面波:
  • 由于电场和磁场位于z=const的平面内,且电场和磁场在平面内不变(场在平面内均匀),波传播的速度也不变(匀速运动),所以称之为均匀平面电磁波。
  • 在无限大均匀理想介质中,波匀速运动,不可能有反射波。所以,下面分析中只需仅考虑正向波,所得到结论可以适合任何波。
  1. 均匀平面波中相互垂直,且与传播方向构成右手螺旋关系,若令为波传播方向的单位矢量,则有:

那么是否为实数就决定了和能否在频域同相。

  1. 几个传播参数

周期:

等相面:相位相等的平面(是初相位)

波前:等相位点组成的曲面称为波前(波面),对于平面波,波前是平面。

相速 (相位速度,波速):等相位面在空间中移动的速度。

等相位面与相速的关系:

因此,在媒质中平面波的速度通常小于真空中的速度(即光速)

波长:一个周期T内波传播的距离,通常记为。

波数:空间距离内所包含的波长数目。(波数、常数、波长的关系,常用)

  1. 时域坡印廷矢量:

因此均匀平面波能量传播方向与波传播方向相同,且与垂直于传播方向的平面内单位面积穿过的功率相等。

电场能量和磁场能量分别为:

        因此,。

  1. 频域坡印廷矢量:

此时研究的不再是能量流动的瞬时值,而是其周期均值:

理想介质中均匀平面波的传播特点?(重点,理想和有耗媒质的都很重要)

  • 电场 、磁场 与传播方向之间相互垂直。
  • 电场与磁场的振幅不变,无衰减。(对应于无耗媒质)
  • 波阻抗为实数,电场与磁场同相位。
  • 电磁波的相速与频率无关,无色散。(波不会变形)
  • 电场能量密度等于磁场能量密度。
  • 能量传输速度等于相速。

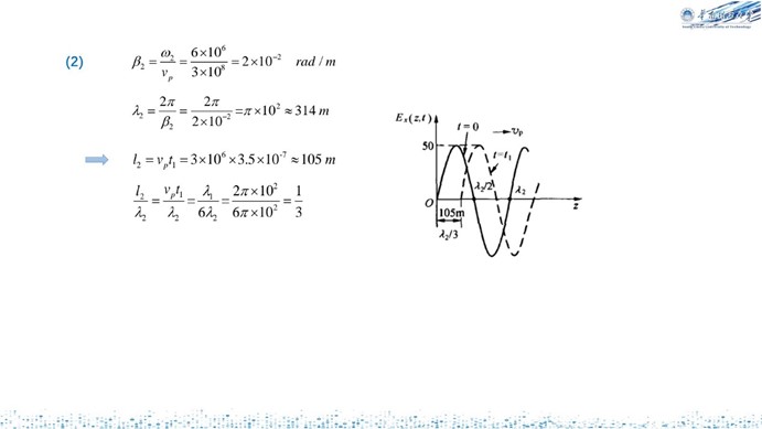
例题:

马冰然P2487-1 7-2(重点)(均匀平面波);例6-8 非均匀平面波

 

沿任意方向传播的平面波

波矢量、三位坐标系下电磁波的传播方向

设传播方向的单位矢量为,等相位面为垂直于的平面,所以,也是等相位面的单位法向矢量。

考虑等相位面上任意一点P的位置矢径,等相位面离原点的距离为ξ,则有等相位面方程:

    可以说满足此条件的所有都在同一个等相位面上。

    在三位空间中传播的正弦稳态电磁波满足如下频域波动方程:

则其解为:

其波矢量的表达式为:

不过即使是在三维空间中,也可以用Maxwell方程证明,电场和磁场方向相互垂直,且组成的平面垂直于其传播方向。

在直角坐标系下,令:

则有:

则在直角坐标系下的方程为:

如果得到一个在三位空间下的均匀平面波电场的表达式,比如:

就能够得到其频域表达式:

则有(计算的各项分量时不要忘了把也算进去)

则其传播方向为:

而其波长则可以通过波矢量的模也就是得到。

 

电磁波的极化(重点)

极化的概念?

随着电磁波朝着某一方向传播,电场强度和磁场强度的方向会以传播方向为轴进行变化(平面波就是旋转),其变化规律可以用极化(偏振)概念描述。

平面波极化方向判定基准?

    极化方向一般是从电场入手来进行分析的,建立直角坐标系,假设电场是沿着z轴进行传播的,将电场在xy方向上分解成,则有:

示意图为:

    结论是这两个分量的初相位和的相对大小,两个电场分量幅值和的相对大小以及电场是沿着z轴正方向还是负方向传播,决定了这个电磁波的极化性质。

极化的分类有:线极化、圆极化、椭圆极化。

直线极化?

    条件为:

    这个时候电场的大小会随着时间的位置发生变化,但是其方向所在的直线却是一直随着波前沿着传播方向平移的,因此被称为直线极化,其示意图如下:

    同时,直线极化中有两个特例:(重点)垂直极化(vertically polarized waves)和水平极化(horizontally polarized waves),前者的极化方向垂直于大地,后者水平于大地。

 

如何判断极化方向的直线在xy平面上的位置?由上面的分析可知,极化方向就是实际的总电场与x轴夹角为的位置:

    且又有:

    则可以根据是0°还是180°来判断极化直线的方向。

另外,由于直线极化的特殊出相位关系,知道xy两个分量的幅值去求总的电场矢量的时候,只需要再得知其中一个方向上的分量的初相位就能把答案求解出来:

圆极化?

圆极化的两个分量的初相位和幅值满足如下关系:

此时有:

此时的夹角随t改变:

    圆极化又分为左旋极化和右旋极化,基于上面的图分析。该图认定,z轴正方向垂直于纸面朝外,让两个手的四个手指从相位超前的分量对应的坐标轴旋转到相位滞后的的分量对应的坐标轴,看哪边手的大拇指正好指向波的传播方向,则这个波就是哪种旋向的极化。

 

    如何判定谁超前谁(谁减去,谁就是超前那个)

Ex相位超前Ey相位:

Ey相位超前Ex相位:

椭圆极化?

    电场的两个分量的振幅和相位都不相等,就构成了椭圆极化波,其示意图如下:

其中椭圆极化分为左旋椭圆极化和右旋椭圆极化,其判定方式与圆极化的一致。线极化和圆极化都是椭圆极化的特例。

极化波的特性?

  • 两个正交的直线极化波的合成波可是线极化波,圆极化波或椭圆极化波。
  • 任一线性极化波,圆极化波或椭圆极化波可分解为两个正交的线极化波。
  • 一个线极化波可以分解为两个振幅相等,旋向相反的圆极化波。一个椭圆极化波可以分解为两个旋向相反,振幅不相等圆极化波。

 

例题:(主要是给出式子会判断极化方向)

 

导电媒质(有耗媒质)中的均匀平面波传播参数

导电媒质(有耗媒质)是指?

为实数,电导率的媒质。

导电媒质的等效复介电常数?

相比于理想介质,导电媒质还存在传导电流,其Maxwell第一方程频域形式可以写为:

则称为导电媒质的等效复介电常数:

由此可以将导电媒质等效为一种理想介质,只不过这个介质的介电常数是一个复数。相应地,适用于理想介质的方程推导结论同样也可以套在导电媒质上。

导电媒质中的波动方程?

其中,,为导电媒质中波数,又称有耗波数,但一般不用,定义新的参量传播常数:

    在直角坐标系中,对于沿+z轴传播的均匀平面波,假定电场强度只有分量,同时令 ,波动方程的特解为:

    此时(重点,和代表什么有何特性,简答题),表示电场的振幅随传播距离z的增加而呈指数衰减,因而称为衰减因子。而为衰减常数,表示电磁波每传播一个单位距离,其振幅的衰减量,单位为Np/m(捺培/米)。

    而依旧是相位因子,为相位常数,能够用来反映传播过程中的相位变化。

导电媒质的本征波阻抗?

    导电媒质本征波阻抗,是一个复数:

显然,一个复数对应于一个幅值和一个相角,这意味着电场和磁场不再是同相位,而是相差一个,且是电场超前磁场,越大超前越多。同时,对于该复数的幅值,又有:

可见导电媒质的本征波阻抗的模小于同参数的理想介质中的波阻抗。

 

 

根据上面对于导电媒质中的波动方程和本征波阻抗的分析,可见电磁波在有耗媒质中的传导模式是如下所示的:

电场超前磁场,且顺着其传播的方向上,幅值不断衰减。

导点媒质中的坡印廷矢量?

    时域上求解坡印廷矢量:

    导电媒质中的复坡印廷矢量:

    导电媒质中的平均坡印廷矢量:

导电媒质中平均电能密度和平均磁能密度:

可见,在导电媒质中平均磁能密度大于平均电能密度(电能被"导"走了)

导电媒质中总的平均能量密度:

相速度:

波长:

在导电媒质中传播时,相速和波长比同参数的理想介质慢和短,且越大,相速越慢,波长越短。而且频率越低,相速度越慢,这种不同频率分量的电磁波将以不同的相速传播,经过一段距离导致的相位失真,称为色散。导电媒质是色散媒质(理想介质就不会导致波形变形)(重点)

导电媒质中的能量传播速度:

可见,导电媒质中均匀平面波的能速与相速度相等(这一点和理想介质是一样的)。

导电媒质中均匀平面波的传播特点(重点)

  • 电场、磁场与传播方向之间相互垂直。
  • 电场与磁场的振幅呈指数衰减。
  • 波阻抗为复数,电场与磁场不同相位。
  • 电磁波的相速与频率有关,色散。
  • 平均磁场能量密度大于平均电场能量密度。
  • 能量传输速度等于相速。

低损耗媒质和良导体媒质

损耗正切角?

一般在工程上不会直接从或者等参数单独入手去研究导电媒质,而是利用损耗正切角:

    这个比值恰好就是媒质中传导电流密度振幅与位移电流密度振幅的之比。

导体分类?(重点)

    给出损耗正切角的值,要能够判断属于何种电介质。

    电介质(低损耗媒质、弱导电媒质Low-loss dielectric) (位移电流起主要作用)

良导体(Good conductor) (传导电流起主要作用,电磁波的衰减极大,趋肤)

不良导体(Bad conductor)

可见,媒质属于电介质还是良导体,不仅与媒质参数有关,还与频率有关。直观上来理解,越大,导电媒质越像是一个导体,越大,导电媒质越像是一个理想介质。

穿透(趋肤)深度和表面电阻

趋肤效应的定义?(重点)

当高频率电磁波传入良导体后,在微米量级距离内就衰减得近于零。因此高频电磁场只能存在与良导体表面的一个薄层内,这种现象称为集肤效应(skin effect,趋肤效应)

趋肤深度Skin depth或穿透深度Penetration depth的定义?(重点)

电磁波场强振幅衰减到良导体表面处的1/e(0.368)时所传播的一段距离称为穿透深度(集肤深度、趋肤深度),用δ表示(公式也是重点)

 

群速度(重点)

色散现象:

若媒质的参数、和与频率有关,则导致电磁波传播的相速度与频率有关,则称这种媒质是色散媒质。在其中传播的电磁波必然要发生色散现象。这种波的相速度随频率而变的现象称为波的色散。

群速度:

不同频率的单色波叠加的电磁波信号(包络信号)在媒质中是以群速度传播,其表达式如下:

只有当包络形状不随波的传播而变化时,也就是信号是窄频带信号时,它才有意义。

群速度和相速度的关系:(掌握)

    群速度和相速度有如下关系式:

    ,即相速与频率无关,此时 ,称为无色散。

,即相速随频率升高而减小,此时,称为正常色散。

,即相速随频率升高而增加,此时,称为反常色散。

均匀平面波的垂直入射、反射波及折射波

平面波垂直入射:

电磁波垂直入射到本征波阻抗不连续的两个媒质的界面时,会发生反射和透射(又称折射),示意图如下:

则在媒质1中的合成波可以表示为:

在媒质2中只有折射波,其表达式为:

在的边界面处,由于电磁波垂直入射,故它们的方向都与边界面相切,则有如下边界条件(这里假设了媒质是有耗媒质且无源故):

联立方程,并代入,则有:

其中有反射系数表达式(反射系数*入射波幅值=反射波幅值):

还有折射系数表达式(折射系数*入射波幅值=折射波幅值):

可见反射系数和折射系数都是只和两边介质的本征波阻抗也即其材料本身有关的参数,而和其他参数无关,所以媒质能够直接影响合成波的传播特性。

这里的反射系数和入射系数还满足以下关系:

从理想介质入射到理想导体:

    示意图如下:

    此时媒质2中的本征波阻抗趋近于0

故有:

此时有:

这种的现象被称为全反射。特别地,该情况下,边界上反射波电场与入射波电场等值反相,因此边界上合成电场恒为零,完全符合理想导电体应具有的边界条件。

此时的合成波表达式如下:

可见这个方程不再是一个行波方程,而是一个振动方程,其在空间中不再传播,只是在原来的位置振动,称为驻波。并且,若定或者定,与的振动方程都是相差。

电磁波驻波的波腹Maxima和波节Zeros(重点)

电场和磁场的驻波不仅在空间位置上错开,在时间上也有的相移。一个场的波腹是另一个场的波节。

并且,在媒质1中合成磁场分量为,媒质2中,所以在边界上此时发生磁场强度的切向分量不连续,因此边界上存在表面电流 ,且:

理想介质1中合成波平均坡印廷矢量和坡印廷矢量(重点)

复能流密度的实部为零,只存在虚部。这就意味着媒质1中没有能量单向流动。电场与磁场能量在两个波节之间的范围进行能量交换,形成电磁振荡。

理想介质1入射到理想介质2中的平面波(重点)

示意图为:

此时的反射系数和折射系数都是实数:

重写介质1中的合成波为:

这个式子的左半部分是行波部分,幅值是;右半部分是驻波部分,幅值是。这样的波被称为行驻波。

 

两种行驻波情况:

驻波比SWR

在工程中,常用驻波系数(或驻波比)描述合成波的特性。定义其为电场或磁场的最大值与最小值之比:

则有:

进一步可以反推反射系数为:

知反射系数可以求驻波比,但是知道驻波比也只能求出反射系数的绝对值,还要再确定两边的本征波阻抗的相对大小关系才能确定其正负。

 

重点例题:

 

三层平行理想介质的垂直入射

总场波阻抗:

    由于多层介质会遇到多次反射的问题,因此这里就不研究入射波和入射波,或者反射波和反射波的关系了,而是去研究总波的关系。总场波阻抗就是在平行于分界面的任意平面上,合成电场与合成磁场的复数的比值。

现在研究下面的情况:

则在媒质1的区域中,有:

那么,媒质1中从点沿轴方向向正轴方向看进去,能够将后面看做是一个等效本征波阻抗是的"均匀介质"。

三层介质的情况:

此时有结论:

其中是从介质1向介质2中看过去的总场波阻抗,位置刚好在介质23分界面往左处,因此是和和的函数,而非和和的函数。根据此结论,我们就能从推导出介质1与介质2分界面上的反射系数。如果是多层的情况,我们可以从右向左一层一层往前推等效本征波阻抗。

 

三层介质中介质1没有反射波的情况(重点):

将介质13看做是原本就有的,介质2看作是新加的。但是我们希望加了介质2之后,介质1中的波完好地给到介质3(不引起反射),这个时候就要根据介质12的本征波阻抗的相对关系,来确定介质2的厚度是半波长还是四分之一波长的了。

 

均匀平面波的斜入射

几个概念(重点)

将入射波波矢量与分界面法线矢量构成平面称为入射平面

若入射波电场矢量垂直于入射平面,则称为垂直极化波

若入射波电场矢量平行于入射平面,则称为平行极化波

(对于电场矢量与入射平面成任意角度的入射波,都可以分解为垂直极化波和平行极化波两个分量。)

反射定律与折射定律:

分界面上的相位匹配条件:

    电磁波的反射定律:

    电磁波的折射定律:

    其中折射率的计算为:

    折射率较小的介质称为波疏介质,较大的介质称为波密介质。

全反射(重点)

对于常见的非磁性媒质,,此时的折射定律可以写成:

全反射时,平行极化和垂直极化的波的反射系数都等于1,其临界角(critical angle)为:

(给出媒质的介电常数,计算临界角)

全反射只能发生在波由光密媒质进入光疏媒质的情形。

当介质板内电磁波入射角大于临界角,电磁波将在介质板的顶面和底面发生全反射,电磁波将被约束在介质板内,并沿z方向传播。此时,媒质2中折射波仍然是沿分界面方向传播,但振幅沿垂直于分界面的方向上按指数规律衰减,因此折射波主要存在于分界面附近,称这种波为表面波。

全折射(重点)

平行极化波斜入射到从媒质1入射到媒质2分界面,当入射角恰好等于布儒斯特角时,反射系数等于0,则电磁功率全部折射到媒质2中,发生全折射。

布儒斯特角大小为:

一个任意极化电磁波,以布儒斯特角入射到两种非磁性媒质分界面,它的平行极化分量全部透射,反射波就只剩下垂直极化波,起到一种极化分离的作用。因此,布儒斯特角也称为极化角。利用这样的特性可产生偏振光(单极化光)。

posted @ 2022-01-27 16:40  Kiensyiu  阅读(4848)  评论(0)    收藏  举报