模拟赛SXJ202507270900题目
亮度调节
问题描述
某智能家居系统中有一个节能灯泡,当前亮度为 \(n\%\)。每分钟,用户可以选择以下两种操作之一:
- 调亮模式:亮度增加 \(2\%\);
- 调暗模式:亮度减少 \(3\%\)。
用户希望找到最少需要多少分钟,才能将灯泡亮度调整为恰好 \(50\%\)。
注意:亮度必须始终保持在 \(0\%\) 到 $100% $之间(包含 \(0\%\) 和 \(100\%\))。具体规则如下:
- 当亮度 低于 \(3\%\)时,系统强制开启调亮模式(避免完全熄灭);
- 当亮度 高于 \(98\%\) 时,系统禁止调亮模式(避免过亮损坏灯泡)。
输入格式
- 第一行一个整数 \(T\),表示测试数据组数;
- 接下来每组数据一行,包含一个整数 \(n\),表示灯泡的初始亮度。
输出格式
- 每组数据输出一行,表示达到 \(50\%\) 亮度的最少分钟数。
样例数据
样例输入&1
4
51
50
23
0
样例输出&1
2
0
16
25
样例解释&1
对于第一组数据,先调亮 \(1\) 下,再调暗 \(1\) 下。
对于第三组数据,先调亮 \(15\) 下,再调暗 \(1\) 下。
数据范围与约束
- 对于 \(30\%\) 的数据,\(T=1\),\(49≤n≤51\)。
- 对于 \(60\%\) 的数据,\(T≤10\),\(40≤n≤60\)。
- 对于 \(100\%\)的数据,\(1≤T≤1000\),\(0≤n≤100\)。
音乐播放
问题描述
-
你有一个音乐播放器,里面有 \(N\) 首歌曲(编号从 \(1\) 到$ N$)。每首歌曲有一个初始的"权重值" \(R_i\)。播放器按照以下规则选择播放的歌曲:
-
选择歌曲:每次播放当前权重值最大的歌曲。如果有多首歌曲权重相同,选择编号最小的那首。
-
权重分配
:播放完一首歌曲后:
- 该歌曲的权重值会被平均分配给其他所有歌曲(N-1首)
- 如果不能整除,余数部分会按顺序一个一个分配给前面的歌曲(跳过刚播放的那首)
- 播放完的歌曲权重值归零
-
重复这个过程,直到播放了 T 首歌曲。
你需要输出前 T 首被播放的歌曲编号。
-
输入格式
- 第一行:两个整数 \(N\) 和 \(T\)
- 接下来 \(N\) 行:每行一个整数,表示每首歌曲的初始权重值
输出格式
- \(T\) 行:每行一个整数,表示第 \(i\) 首播放的歌曲编号
样例数据
样例输入&1
3 4
10
8
11
样例输出&1
3
1
2
3
样例解释&1
样例1: 初始权重:\([10, 8, 11]\)
- 第一首:播放 \(3\)(权重\(11\)最大)
- 分配:\(11 ÷ 2 = 5 余1\)
- 余数\(1\)给\(1\)(跳过\(3\))
- 新权重:\([10+5+1=16, 8+5=13, 0]\)
- 第二首:播放 \(1\)(权重\(16\)最大)
- 分配:\(16 ÷ 2 = 8 余0\)
- 新权重:\([0, 13+8=21, 0+8=8]\)
- 第三首:播放 \(2\)(权重\(21\)最大)
- 分配:\(21 ÷ 2 = 10 余1\)
- 余数\(1\)给\(1\)(跳过\(2\))
- 新权重:\([0+10+1=11, 0, 8+10=18]\)
- 第四首:播放 \(3\)(权重\(18\)最大)
- 结束
样例输入&2
5 2
18
3
8
11
13
样例输出&2
1
5
样例解释&2
- 样例2: 初始权重:\([18,3,8,11,13]\)
- 第一首:播放 \(1\)(权重\(18\)最大)
- 分配:\(18 ÷ 4 = 4 余 2\)
- 余数\(2\)分别给\(2\) \(3\)(跳过\(1\))
- 新权重:\([0,3+4+1=8,8+4+1=13,11+4=15,13+4=17]\)
- 第二首:播放 \(5\)(权重\(17\)最大)
数据范围与约束
- \(1≤N≤1,000\)
- \(1≤R_i≤10,000\)
- \(1≤T≤1000\)
任务调度
问题描述
-
某工厂有 \(N\) 个生产任务,编号为 \(1\) 到$ N$。这些任务需要按照特定顺序在流水线上完成。任务调度受到两种约束条件限制:
- 依赖链约束:\(M\) 个任务存在依赖关系,必须按照给定顺序完成。例如,若输入链为 \([4,5,6]\),则任务 44 必须在任务 \(5\) 前完成,任务 \(5\) 必须在任务 \(6\) 前完成。
- 固定位置约束:\(K\) 个任务必须在流水线的特定位置完成。例如,输入"
5 3"表示任务 \(5\) 必须在第 \(3\)个位置完成。
任务 \(1\) 是紧急任务,工厂主管希望尽早完成它。请确定在满足所有约束条件下,任务 \(1\) 可以完成的最早位置。
输入格式
- 第一行:\(N\)(任务总数),\(M\)(依赖链中的任务数),\(K\)(有固定位置的任务数)
- 第二行:\(M\) 个不同的任务 \(ID\),表示依赖链中的任务顺序
- 随后 \(K\) 行:每行一个任务 \(ID\) ,\(c_i\)和位置 \(p_i\),表示任务 \(c_i\) 必须在第 \(p_i\) 位完成
输出格式
- 输出任务 \(1\) 可以完成的最早位置
样例数据
样例输入&1
6 3 2
4 5 6
5 3
3 1
样例输出&1
4
样例解释&1
工厂有 $6 $个任务:
- 依赖链:\(任务 4 → 任务 5 → 任务 6\)
- 固定位置:$任务 3 $必须在第 \(1\) 位,\(任务 5\) 必须在第 \(3\) 位
可行的调度顺序:
- \(任务 3\)(固定位置 \(1\))
- \(任务 4\)(必须在任务$ 5 $之前)
- \(任务 5\)(固定位置 \(3\))
- \(任务 1\)(最早可能位置)
- \(任务 6\)(必须在任务 \(5\) 之后)
- 剩余任务
因此任务 \(1\) 的最早完成位置是第$ 4$ 位。
数据范围与约束
- \(2≤N≤100\)
- \(1≤M,K<N\)
- \(1≤c_i,p_i<N\)
包包的魔法世界
问题描述
包包在玩一个有趣的游戏世界,这里有\(N\)个魔法节点,编号从 \(1\) 到 \(N\)。这些节点通过魔法能量连接成一棵以节点 \(1\) 为源头的魔法树。第 \(i\) 条魔法连接\((1≤i≤N−1)\)将节点 \(a_i\) 和 \(b_i\) 相连。
每个魔法节点都有一个能量计数器,初始时所有计数器的值都为 \(0\)。
现在包包要进行 \(Q\) 次魔法充能:
- 第 \(j\) 次充能\((1≤j≤Q)\):选择以节点 \(p_j\)为源头的魔法子树,将该子树中所有节点的能量计数器增加 \(x_j\) 点魔法值。
包包想知道,在所有充能操作完成后,每个魔法节点的能量计数器最终数值是多少?
输入格式
- 第一行输入两个数 \(N\) 、 \(Q\) 表示魔法节点数和操作次数。
- 接下来有 \(N−1\) 行,每行两个数 \(u\) 、 \(v\),表示该两个节点相连接;
- 接下来有 \(Q\) 行,每行两个数, \(p\)、 \(x\) ,表示给以 \(p\)为根节点的子树上每一个节点都加上 \(x\) 。
输出格式
- 请输出节点 \(1\) 到\(N\) 的最终能量值,用空格分隔。
样例数据
样例输入&1
4 3
1 2
2 3
2 4
2 10
1 100
3 1
样例输出&1
100 110 111 110
样例解释&1
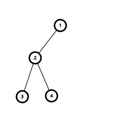
魔法树结构如下:

充能过程:
-
对以\(②\)为源的子树\(②③④\)充能\(+10\)
- 计数器:\(0,10,10,10\)
-
对以\(①\)为源的整棵树\(①②③④\) 充能\(+100\)
- 计数器:\(100,110,110,110\)
-
对以\(③\) 为源的子树(仅\(③\))充能\(+1\)
- 最终计数器:\(100,110,111,110\)
样例输入&2
6 2
1 2
1 3
2 4
3 6
2 5
1 10
1 10
样例输出&2
20 20 20 20 20 20
数据范围与约束
- 魔法节点数:\(2≤N≤2×10^5\)
- 充能次数:\(1≤Q≤2×10^5\)
- 魔法连接:\(1≤a_i<b_i≤N\)
- 充能目标:\(1≤p_j≤N\)
- 充能数值:\(1≤x_j≤10^4\)
- 保证构成一棵有效的魔法树
- 所有输入均为整数
奇怪的银行
问题描述
某银行为了增加取款难度,规定客户每次操作只能取出以下金额之一:
- \(1\) 元
- \(6\) 的幂次金额:\(6 元\)(\(6^1\))、\(36\) 元(\(6^2\))、\(216\) 元(\(6^3\))...
- \(9\) 的幂次金额:\(9\) 元(\(9^1\))、\(81\) 元(\(9^2\))、\(729\) 元(\(9^3\))...
问:要恰好取出总共 \(N\) 元,至少需要进行多少次取款操作?不允许将已取出的钱重新存入。
输入格式
- 输入一个整数$ N$。
输出格式
- 输出一个整数表示最少需要的操作次数。
样例数据
样例输入&1
127
样例输出&1
4
样例解释&1
最优方案:
- 取出 \(1\) 元(操作 \(1\))
- 取出 \(9\) 元(\(9^1\),操作 \(2\))
- 取出 \(36\) 元(\(6^2\),操作 \(3\))
- 取出 \(81\) 元(\(9^2\),操作 \(4\)) 总和:\(1 + 9 + 36 + 81 = 127 元\)
样例输入&2
3
样例输出&2
3
样例输入&3
44852
样例输出&3
16
数据范围与约束
- \(1≤N≤10^5\)
- \(N\)为整数

浙公网安备 33010602011771号