【电路2】一阶电路的时域分析

(a)电路在T = 0_时刻的电路图:

当t=0_的时候,求uc(0_)=10V
当t =0+的时候,uc(0_)=10V=uc(0+)
这时等效为一个电源,求ic(0+)=-(10+5)/10=-1.5A
UR(0+)=10xic(0+)=-15v
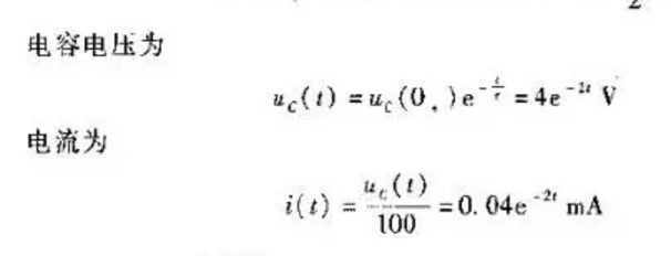
==========================================一阶电路的时域分析


1.求Uc(0_)电压

2.求Req的阻值

3.求时间常数τ

4.最后求Uc(t)和i(t)

一个二次元的生物

浙公网安备 33010602011771号